Uträkning av ränta 10 år - med hjälp av derivata?

Jag jobbar mycket med derivata nu, och gissar att denna fråga ska testa min kunskap kring just derivata och exponentialfunktioner.
Men alla matematiska utryck i frågan är ju konstanter, så det behövs väl inte någon speciell funktion för detta? Eller tänker jag fel?
Jag har iaf gjort en liten uträkning som är följande:
Hur hänger din uträkning ihop med den här uppgiften?
Om hon sätter in 5000 kr på ett konto med räntan 3,25 %, hur mycket finns det då efter 10 år?
Om hon sätter in 5000 kr på ett konto med räntan 3,25 %, hur mycket finns det då efter 9 år?
Om hon sätter in 5000 kr på ett konto med räntan 3,25 %, hur mycket finns det då efter 8 år?
Om hon sätter in 5000 kr på ett konto med räntan 3,25 %, hur mycket finns det då efter 7år?
Om hon sätter in 5000 kr på ett konto med räntan 3,25 %, hur mycket finns det då efter 6 år?
Om hon sätter in 5000 kr på ett konto med räntan 3,25 %, hur mycket finns det då efter 5 år?
Om hon sätter in 5000 kr på ett konto med räntan 3,25 %, hur mycket finns det då efter 4 år?
Om hon sätter in 5000 kr på ett konto med räntan 3,25 %, hur mycket finns det då efter 3 år?
Om hon sätter in 5000 kr på ett konto med räntan 3,25 %, hur mycket finns det då efter 2 år?
Om hon sätter in 5000 kr på ett konto med räntan 3,25 %, hur mycket finns det då efter 1 år?
Och så gör hon en sista insättning på sin 40-årsdag. Hur mycket finns det totalt på kontot?
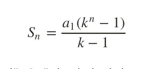
Och nej, du har ingen nytta av derivata i den här uppgiften, det handlar om en geometrisk summa.
Smaragdalena skrev:Hur hänger din uträkning ihop med den här uppgiften?
Om hon sätter in 5000 kr på ett konto med räntan 3,25 %, hur mycket finns det då efter 10 år?
Om hon sätter in 5000 kr på ett konto med räntan 3,25 %, hur mycket finns det då efter 9 år?
Om hon sätter in 5000 kr på ett konto med räntan 3,25 %, hur mycket finns det då efter 8 år?
Om hon sätter in 5000 kr på ett konto med räntan 3,25 %, hur mycket finns det då efter 7år?
Om hon sätter in 5000 kr på ett konto med räntan 3,25 %, hur mycket finns det då efter 6 år?
Om hon sätter in 5000 kr på ett konto med räntan 3,25 %, hur mycket finns det då efter 5 år?
Om hon sätter in 5000 kr på ett konto med räntan 3,25 %, hur mycket finns det då efter 4 år?
Om hon sätter in 5000 kr på ett konto med räntan 3,25 %, hur mycket finns det då efter 3 år?
Om hon sätter in 5000 kr på ett konto med räntan 3,25 %, hur mycket finns det då efter 2 år?
Om hon sätter in 5000 kr på ett konto med räntan 3,25 %, hur mycket finns det då efter 1 år?
Och så gör hon en sista insättning på sin 40-årsdag. Hur mycket finns det totalt på kontot?
Och nej, du har ingen nytta av derivata i den här uppgiften, det handlar om en geometrisk summa.
Ok ok :) ska läsa på om geometrisk summa och återkomma.

Löste uppgiften med hjälp av formeln:

Ser det ut att ha blivit korrekt löst?
Du beräknar ett mellanresultat, fast du inte behöver göra det.
64868
Det räcker med att man tar
5000*1,0325^10
Hej,
Räntesatsen beräknas hela tiden på det föregående innestående saldot.
- Saldo dagen efter Anna fyllt 30 år: tusen kronor.
- Saldo dagen efter Anna fyllt 31 år: tusen kronor.
- Saldo dagen efter Anna fyllt 32 år: tusen kronor.
- ...
- Saldo dagen efter Anna fyllt 40 år: tusen kronor.
Det slutliga saldot är
tusen kronor, som är cirka 64 900 kronor (mer specifikt 64 868 kronor).