1
svar
51
visningar
Det stämmer.
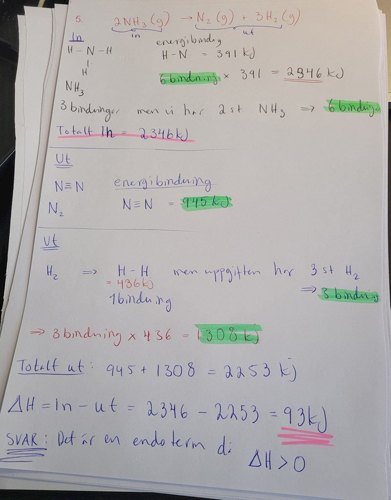
Från engelska Wikipedia: "Decomposition of ammonia is a slightly endothermic process requiring 23 kJ/mol (5.5 kcal/mol) of ammonia, and yields hydrogen and nitrogen gas. " (Siffrorna stämmer inte perfekt, men bra nog.)

är detta rätt?