2
svar
71
visningar
triceratops behöver inte mer hjälp
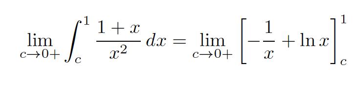
Uträkning generaliserad integral
Jag är ny till integraler och följer inte riktigt med i denna uträkning. Hur kommer man fram till uttrycket i högerledet?
