Uträkning innehåller även minnes anteckning. Detta är för visning och kommentar.

Päivi skrev :
Nej det stämmer inte.
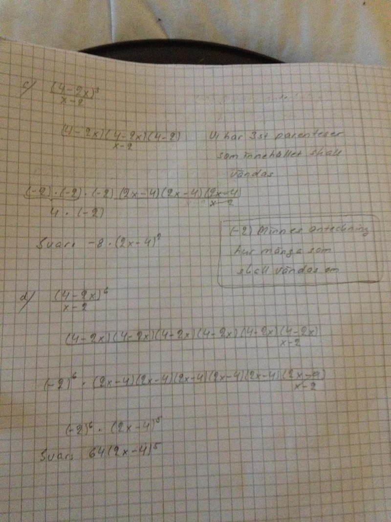
(4 - 2x) = (-2)(x - 2)
På c-uppgiften gäller alltså att (4 - 2x)(4 - 2x)(4 - 2x) = (-2)(-2)(-2)(x - 2)(x - 2)(x - 2) = (-8)(x - 2)^3
Alltså gäller att (4 - 2x)^3/(x - 2) = (-8)(x - 2)^2
Det är samma typ av fel på d-uppgiften.
Är detta riktigt då?
Du har fått fram rätt svar men du har skrivit fel på vägen. Jag har markerat med rött vad som är fel.
Faktorerna på första raden (övre röda ringarna) är inte identiska med faktorerna på andra raden (undre röda ringarna).
I båda dessa fall hade det varit enklare att bryta ut 2 ur varje faktor i täljarna och att bryta ut (-1) ur nämnarna.

Menar du så här Yngve?
Päivi skrev :
Menar du så här Yngve?
Nej.
Jag menar så här:
(4 - 2x)^3/(x - 2) =
(2*(2 - x))^3/(-1)*(2 - x) =
(-1)*2^3*(2 - x)^3/(2 - x) =
{Om x är skilt från 2} =
-8*(2 - x)^2
Detta är svar enligt boken, Yngve
Päivi skrev :
Detta är svar enligt boken, Yngve
Jag antar att du menar de svar som jag har gulmarkerat.
I så fall är de samma som de du (och jag) har skrivit.

Jag tittade fel ställe! Ursäkta Yngve!
Sådant har hänt för mig förr också. Ibland får jag mina tankar, varför jag har räknat fel fast det är rätt. Tittar svaren ftån fel ställe.
