3
svar
89
visningar
Mattelunden behöver inte mer hjälp
Utrbytning från roten ur
Hejsan!
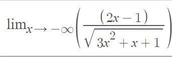
Se bild. Om x ska brytas ut från roten ur så ser det ut på följande vis. Jag förstår dock inte hur x kan bli negativt. Är det någon som har förklaring på det?
Mvh
Anders
Vet man på något sätt, exempelvis för att det står tidigare i uppgiften, att x < 0?
Smaragdalena: 
Uppgiften ser ut på följande vis
Vi har att
Eftersom det gäller att så gäller alltså att .
Då går mot negativa oändligheten är , vilket innebär att .
Alltså är då .