2
svar
101
visningar
Cien behöver inte mer hjälp
Uttryck med exponent
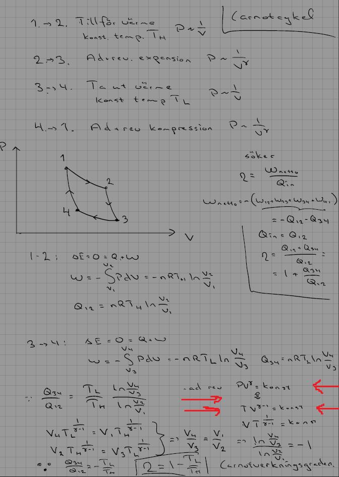
Jag förstår verkligen inte detta steget
Markerat i rött nedan

Tänk dig följande
TV2 = konstant
Dra roten ur båda sidorna så får du
T1/2V = en annan konstant
CurtJ skrev:Tänk dig följande
TV2 = konstant
Dra roten ur båda sidorna så får du
T1/2V = en annan konstant
Ja juste. Tack! det stod helt still i huvudet