Uttrycka PDF när CDF given
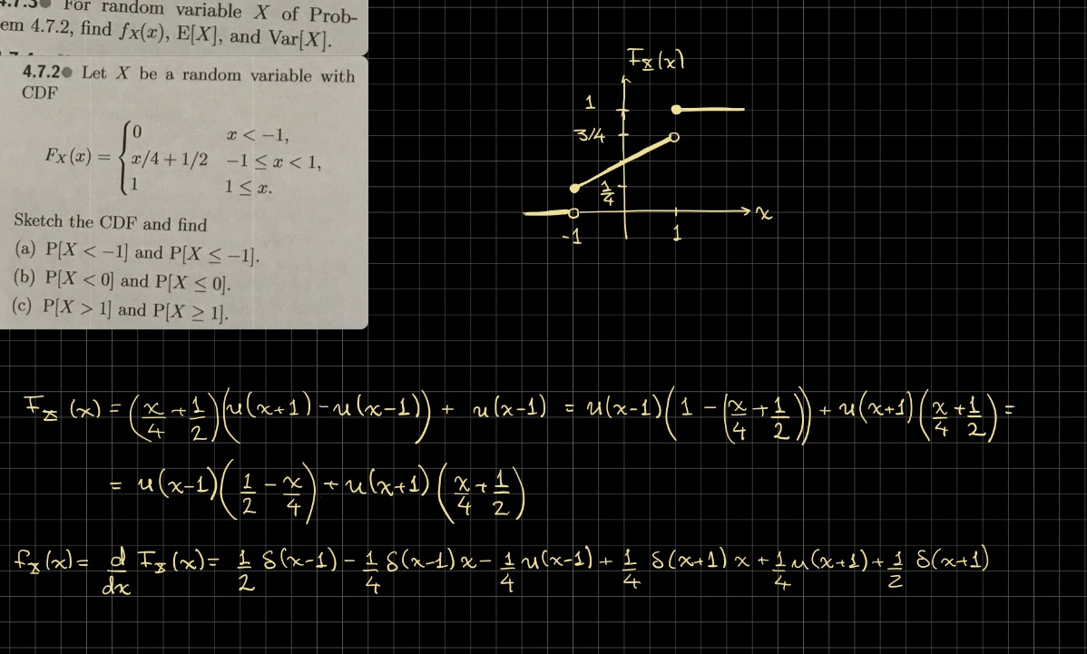
Hallå, vill uttrycka PDF när CDF är given. Jag börjar med att uttrycka CDF med stegfunktioner, så vi kan derivera i alla punkter. Sen deriverar jag och måste använda produktregeln ibland så jag får Diracer multiplicerat med x vilket inte finns i facit. Ser inte var det blir fel. Facit längst ner.

Nu är jag kanske helt ute och cyklar, men man ska väl då multiplicera Dirac-spiken med x enbart där det är meningsfullt? Då blir det ju "gånger ett" eller "gånger minus ett".
I din sista rad saknar jag just en multiplikation x gånger Diracspik. Visst har du väl missat ett x där?
Bubo skrev:Nu är jag kanske helt ute och cyklar, men man ska väl då multiplicera Dirac-spiken med x enbart där det är meningsfullt? Då blir det ju "gånger ett" eller "gånger minus ett".
Det har du rätt i!
I din sista rad saknar jag just en multiplikation x gånger Diracspik. Visst har du väl missat ett x där?
Hmm ser inte var.
Cien skrev:
I din sista rad saknar jag just en multiplikation x gånger Diracspik. Visst har du väl missat ett x där?
Hmm ser inte var.
Fel av mig. Det är nog rätt.
Sådär, nu är allt rätt.
Edit: Borde också skrivit att f_X(x)=0 för alla andra värden av x