1
svar
70
visningar
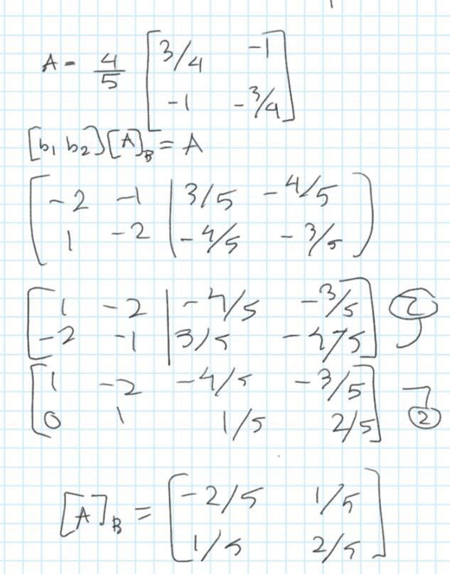
utttryck matrisen A i basen B
Hej jag har fått en upgift att utrycka matrisen A i basen B={b1,b2} där b1=-2,1 och b2=-1,-2. A är redan utryckt i standardbasen. men jag får fel då jag räknar och jag undrar om jag tänkt fel

tydigen är det så här man ska göra men fattar inte riktigt varför