6
svar
89
visningar
Utveckla

factor (x^2-7x+8)(7-8x-7x^2) - Wolfram|Alpha (wolframalpha.com)

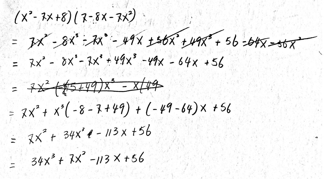
Hur har de fått den här resultatet, ja fattar inte.
Kika noga, svaren är ekvivalenta. Men ser du vart skillnaden ligger?
Allting från parentesen (7-8x-7x^2) har omvänt tecken.
Precis, men du har också en faktor av (-1). Vad händer om du multiplicerar in (-1) i den högra faktorn?
Det blir (-1)*(7x^2+8x-7) = (-7x^2-8x+7)=(7-8x-7x^2).
Så här skulle ja göra för att utveckla:

Är det fel?
Nej, du har fått till att bli och det stämmer inte, det skall åtminstone vara ett polynom av fjärde grad.