2
svar
107
visningar
Douglas Sederlin behöver inte mer hjälp
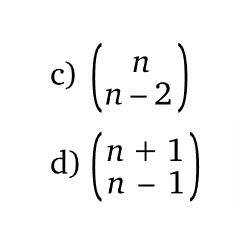
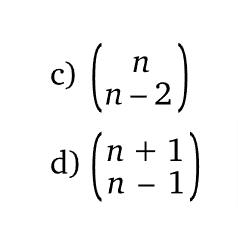
Utveckla n över k

Hur utvecklar man d-uppgiften?
Har testat att använda identiteten (n över k = n över n-k) i c uppgiften, fick fram (n över n-2)=(n över 2) vilket jag kunde utveckla.
Däremot fastnar jag på d-uppgiften. Hur utvecklar man det, finns det någon bra metod?
Douglas Sederlin skrev:
Hur utvecklar man d-uppgiften?
Har testat att använda identiteten (n över k = n över n-k) i c uppgiften, fick fram (n över n-2)=(n över 2) vilket jag kunde utveckla.
Däremot fastnar jag på d-uppgiften. Hur utvecklar man det, finns det någon bra metod?
På samma sätt - om k = n-1 och n = n+1 (usch vad fult det ser ut!) så är n-k = n+1-(n-1) = n-n+1-(-1) = 2, så täljaren blir (n+1)n och nämnaren 1.2.
Ahaja nu förstår jag, tack för hjälpen Smaragdalena!
