7
svar
166
visningar
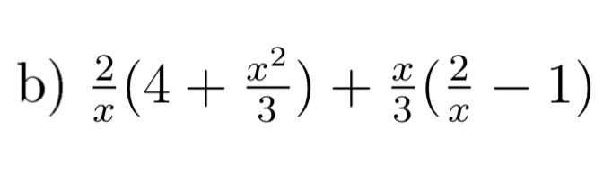
Utveckla och förenkla uttryck

Hur börjar jag? Ska jag göra 4 an till 4/1 och -1 till -1/1?
Ett lämpligt förstasteg är att multiplicera kvoterna framför parenteserna med talen och kvoterna inuti parenteserna, för att på så vis bli av med parenteserna. Om det underlättar för dig att skriva om talen som kvoter så gör för all del det.
Ja, det är en bra idé! Gör termerna innanför parenteserna liknämniga, så kan du addera ihop dem sedan. :)
Svaret ska bli x/3 + 8/x + 2/3
Börjar jag multiplicera in 2/x i 4/1?
Ja. Du bör även multiplicera in 2/x i x2/3, för att bli av med parentesen.
Okej så jag får 8/x + 2x^2/3x + 2x/3x -x/3x
stämmer detta
Sista termen stämmer inte.
Och du kan förenkla t.ex. 2x/3x.