V(a)=V(b)
Hej jag har fått en uppgift som ser ut såhär:
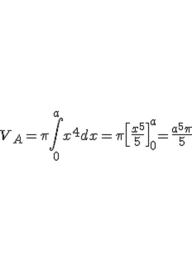
Grafen till funktionen y = x^2 begränsar ett område A tillsammans med linjen x = a (där a > 0) och x-axeln. Kurvan begränsar också ett område B tillsammans med linjen y = b (där b > 0) och y-axeln. När området A roterar runt x-axeln bildas en rotationskropp med volymen VA, och när området B roterar runt y-axeln bildas en rotationskropp med volymen VB.
Bestäm vilket samband som råder mellan a och b då VA = VB.
Jag fastnar vid Integralen av Vb då jag inte vet vad funktionen blir?

, x funktion av y.
Tänk att du summerar cylindriska element, ” puckar”, längs y-axeln.
Är vi någorlunda överens om puckens dimensioner?
dr_lund skrev:, x funktion av y.
Tänk att du summerar cylindriska element, ” puckar”, längs y-axeln.Är vi någorlunda överens om puckens dimensioner?
Tack så mycket! Det hjälper.
Rita! Lägg in bilden här. Då kan vi gå vidare och hjälpa dig.
Smaragdalena skrev:Rita! Lägg in bilden här. Då kan vi gå vidare och hjälpa dig.
Tack för hjälpen men har redan löst uppgiften :)