V= n × pi


Jag fattar inte hur jag skriver de vinklar jag fått ut till det som står I facit.
I tex a) så får jag 0 och -pi.
I b) får jag ut pi/2 och 3pi/2
I c) får jag samma som a)
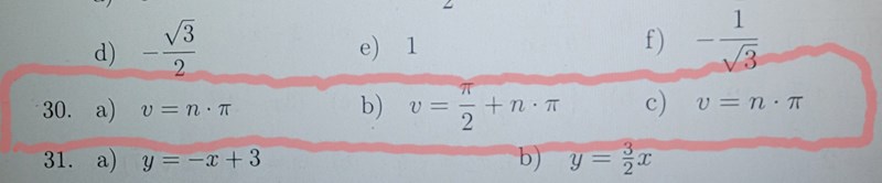
Facit:
Markera facits svar i enhetscirkeln, stämmer det med dina svar?
Du har också glömt perioden i alla dina svar så du har gjort fel. Du har (om det stämmer) hittat ett par lösningar, när det egentligen finns oändligt många lösningar.
Jo, vet att man kan få oändligt med svar, då man ska ha med perioden. Men vet inte hur jag ska formulera om det.
Brukar det inte också vara 2pi× n när man pratar om cos och sin?
offan123 skrev:Jo, vet att man kan få oändligt med svar, då man ska ha med perioden. Men vet inte hur jag ska formulera om det.
Brukar det inte också vara 2pi× n när man pratar om cos och sin?
Jovisst! Är det någon du tycker är konstigt med det sättet som facit formulerar sig på?
Tex på a) Hur trycker de ihop det till bara v=pi × n.
Jag har 0 och -pi
V=-pi + 2pi ×n hade jag skrivit det
På b) v=pi/2 × 2pi×n hade jag skrivit
C) samma som på a.
Men de verkar förenkla allt och det är det jag inte fattar.
Har du ritat in lösningarna i enhetscirkeln? Om du har gjort det - lägg upp bilden här. Om du inte har gjort det - rita och lägg upp bilden här.

Så här?
Rita in de lösningarna som facit anger i samma enhetscirklar, men med en annan färg. Jämför.
Som jag ser på uppgifterna så är det pi mellan vinklarna på a), är perioden pi?
Det är också pi som period mellan vinklarna på b), är perioden pi?
Är det därför de sätter pi×n istället för 2pi× n? Vinkeln upprepar sig efter pi?
offan123 skrev:Som jag ser på uppgifterna så är det pi mellan vinklarna på a), är perioden pi?
Ja.
Det är också pi som period mellan vinklarna på b), är perioden pi?
Ja.
Är det därför de sätter pi×n istället för 2pi× n? Vinkeln upprepar sig efter pi?
Ja. Perioden är .