V(X), V(Y) givet f_{X,Y](x,y)
Hej!
Denna uppgift har jag fastnat på (5.20 i Gunnar Blom m.fl., Sannolikhetsteori och statistikteori med tillämpningar):
Den stokastiska variabeln har täthetsfunktionen
när
Bestäm , .
(uppgiften ber om lite fler saker också, men jag har fastnat redan i variansberäkningen)
För att bestämma variansen tänkte jag att man förstå behövde bestämma väntevärdet. För att kunna bestämma väntevärdet för och för , så måste man också bestämma de marginella täthetsfunktionerna för och .
Jag tänker då att man använder sig av att
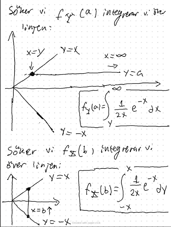
Jag ritade upp nedanstående bild, som jag hoppas att ni kan läsa och förstå. Den har som syfte att hjälpa mig bestämma gränserna för integralerna:

Om vi söker bör vi integrera täthetsfunktionen längs linjen . Detsamma gäller fast då längs med . Problemet blir att för att bestämma behöver jag integrera över , vilket blir en knepig integral. I facit skriver man bara följande:

Jag förstår inte hur vi kan använda ett symmetriargument för integralen . Har jag tagit fram fel integral?
___________________
För kontextens skull ber uppgiften utöver om att bestämma och också om att bestämma samt att besvara om är: okorrelerade, och om de är oberoende.
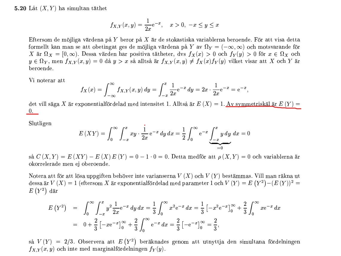
Det fullständiga lösningsförslaget som man ger till uppgiften är då:
Notera att
på intervallet .
Så givet att så är den betingade sannolikheten för likformigt fördelad på . Väntevärdet för en sådan symmetrisk fördelning är 0.
Vi kan använda att och eftersom så måste .
Gustor skrev:Notera att
på intervallet .
Så givet att så är den betingade sannolikheten för likformigt fördelad på . Väntevärdet för en sådan symmetrisk fördelning är 0.
Vi kan använda att och eftersom så måste .
Betingat väntevärde ingår inte i min kurs, men slog upp definitionen. Så i uppgiften, är alltså en stokastisk variabel som representerar den betingade sannolikheten att är likformigt fördelad på ? Här hänger jag nog inte riktigt med. Jag förstår att om en s.v. likformigt fördelad på ett intervall så gäller vilket med blir att . Eller är helt enkelt en likformig fördelning? Det går inte riktigt ihop för mig, får jag ser inte vad i täthetsfunktionen representerar då.
Eftersom betingat väntevärde är utanför min kurs så tänkte jag att man kanske kunde använda som de gör i facit:

dvs. använda sig av
Enligt min bild i OP hade jag egentligen velat integrera mellan
men jag kan se varför
är korrekt
och då får jag fram att .
Okej, förstår. Ja, det borde gå bra, men jag tror du vill ha istället för i integrationsgränsen.
Man kan se att direkt genom att titta på den marginella fördelningen. Kanske är det så här facit menar?
Enligt definitionen är
,
där vi integrerar över alla möjliga värden på givet att .
För ett givet betyder villkoret att . Därför blir
.
Alltså är
.
Vi kan nu observera att
, eftersom , och inget annat beror av . Alltså är den marginella sannolikheten symmetrisk kring och det följer att .
Låt och vara två kontinuerliga slumpvariabler. För varje värde som antar och för vilket så kan vi definiera den betingade täthetsfunktionen som
.
Intuitivt beskriver denna funktion sannolikheten för utfallen för givet att har antagit något känt värde .
Det betingade väntevärdet av variabeln givet kan betraktas antingen som en slumpvariabel, skriven , eller som en funktion, som brukar skrivas .
Den första bemärkelsen kan du tänka på som följande. När vi känner till värdet på kommer att fördela sig på något sätt, och runt något viss väntevärde. Denna fördelning, och därav även väntevärdet av denna, kommer generellt att se olika ut beroende på vilket värde antar. Det betingade väntevärdet är alltså en slumpvariabel. För varje värde som antar så antar denna slumpvariabel värdet , som formellt definieras som
.
Här är ett illustrerande exempel, dock i det diskreta fallet; taget från https://math.stackexchange.com/questions/23600/intuition-behind-conditional-expectation:
Tänk dig att är antalet prickar på en vanlig sexsidig tärning du kastar. Utan ytterligare information är vår bästa gissning för vad kommer bli för värde (bäst i bemärkelsen att om vi upprepar experimentet många gånger så kommer storleken på felen minimeras om vi hela tiden gissar 3.5).
Låt säga att jag ger dig lite mer information. Jag säger att är ett jämnt tal. Då blir plötsligt .
Säger jag att är ett udda tal, ja då blir .
Vi ser att när jag ger dig ytterligare information så kan väntevärdet komma att ändras. Tänk nu på denna ytterligare information som någon abstrakt slumpvariabel . Väntevärdet av beror av vilken information som ges (vilket värde vi känner till som antar). Exakt vad väntevärdet för blir avgörs av slumpen, eftersom också är en slumpvariabel (så vilken information jag ger dig ser vi som en slump).
Kallar vi informationen "antalet prickar är jämnt" för och "antalet prickar är udda" för så kan vi beskriva situationen ovan som att och . Den slumpvariabel som antingen antar värdet eller värdet på detta sätt skriver vi som .
Okej, så är alltså en slumpvariabel, inte ett reellt tal (som t.ex. eller är). Vi kan därför betrakta denna slumpvariabels väntevärde: . Det visar sig att . Intuitivt är talet den bästa gissningen av vilket värde är innan har antagit något specifikt värde. Det förefaller då rimligt att den bästa gissningen då bara borde bli , vilket man också kan visa formellt (law of total expectation).
I uppgiften påstod jag att tätheten för givet att (alltså tätheten för ) var likformig på intervallet . Därför är väntevärdet för alla möjliga . Det betyder alltså att oavsett vilken "information" vi får från (vilket värde antar) så fördelar sig symmetriskt runt 0. Speciellt så antar slumpvariabeln aldrig något annat värde än 0. Därför måste väntevärdet vara 0. Men detta väntevärde är detsamma som som vi just sett. Alltså är .