2
svar
126
visningar
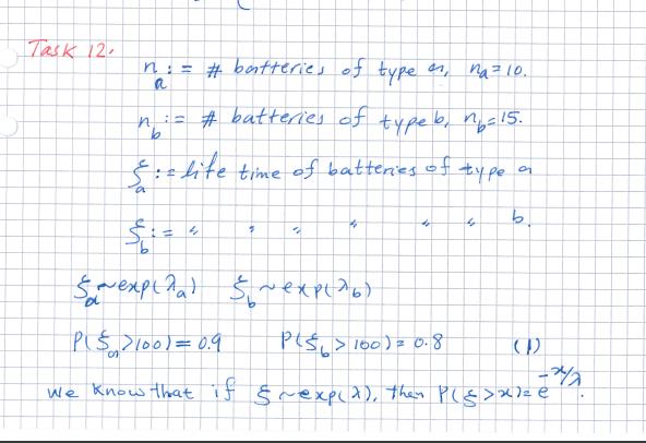
Vad är den sammanlagda livslängden för de 5 batterierna?
Hej! Jag förstår inte riktigt varför de i facit använder ?
Är inte fördelningsfunktionen för en exponentialfunktion ?
Så det borde vara
?

Facit:

Tack på förhand!
Ser ut som att de gör en märklig parametrisering, så att lambda är väntevärdet. Vanligtvis använder man parametern lambda sådant att 1/lamnda är väntevärdet.
Ah okej tack!