2
svar
117
visningar
Vad är fel?
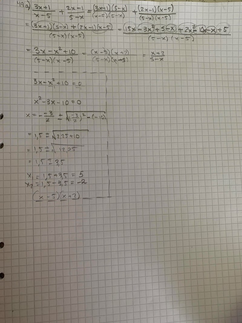
Man ska förenkla ((3x+1)/(x-5)) + ((2x-1)/(5-x))
så långt som möjligt. Använde pq-formeln. Dividerade ekvationen med -1 innan jag använde pq-formeln för att få x^2 positiv.

På rad 3 har du skrivit (x-5)(x+2) / (5-x)(x-5) men det ska stå (-x +5)(x+2)
Du kommer att få mycket lättare beräkningar (och mycket mindre risk att göra fel) om du börjar med att skriva om den andra termen till . Då har du samma nämnare i båda leden och kan förenkla täljaren. Om jag ser rätt utan att använda papper och penna så skall du inte behöva använda pq-formeln alls.