1
svar
60
visningar
mrlill_ludde behöver inte mer hjälp
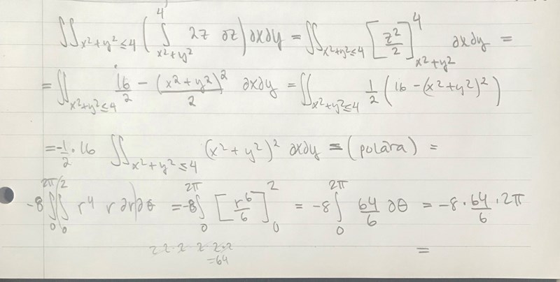
Vad är fel i min uträkning (Gauss sats)


Jag hoppar över en massa förklaringar, ni som vet gauss sats vet ju hur jag tänker I guess.
Haha (skäms över min uträkning, lol)
Två saker:
Den primitiva funktionen till är , inte .
Hur blev till ?
