Vad är Lösningsformeln - 14x=x^2

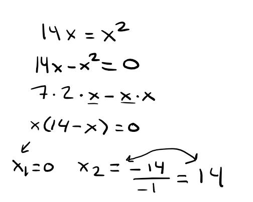
Jag undrade vad lösningsformeln är och hur jag ska lösa problemet V) 14x = x^2
Kan man göra såhära?
Absolut! Så skulle jag också göra!
Det går bra. Nollproduktsmetoden här också.
Jag skulle börja med att skriva ekvationen så här
x2 – 14x = 0 (med x2-termen först)
och sedan faktorisera vänstra ledet
x(x – 14) = 0
så att x står först i båda faktorerna.
Mest för att det är så man brukar skriva.
Det är så man väntar sig att en faktoriserad ekvation ska se ut
RamanJ skrev:
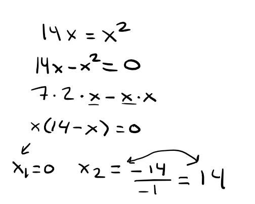
Jag undrade vad lösningsformeln är och hur jag ska lösa problemet V) 14x = x^2
Kan man göra såhära?
Tackar för hjälpen =)
"Lösningsformeln" skulle kunna syfta på pq-formeln, men jag har inte sett det ordet förut.
I min värld är lösningsformeln och "abc"-formeln samma sak (dvs den för ax2+bx+c = 0) och pq-formeln är en specialvariant för fallet a = 1.

Kan man göra såhära?