Vad är massan?
Vilken massa har en 1,8Ci 14C- källa?
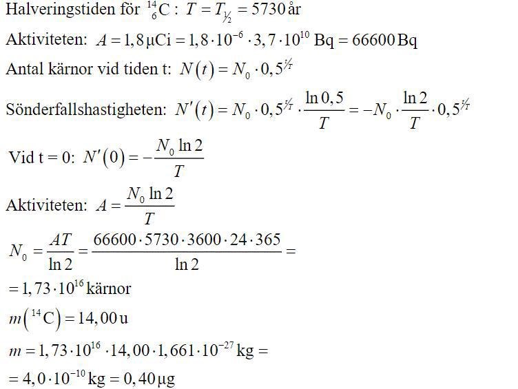
Jag har antagit att Halveringstiden är given dvs. 5700 år och beräknat hur mycket 1,8μCi är i Bq.
Jag har följande information: T = 5730 år, Aktiviteten= 66600Bq och formeln för halverings tid ( N = N0 * 0,5(t/T)
Har därefter försökt räkna ut tiden, tills jag kollade på facit. Vilket visade dessa steg:

Har flera frågor gällande detta: Varför derivarar de? Vart kommer ln(0,5)/T ifrån? Varför blir N0 först negativ och därefter positiv och varför multipliceras halveringstiden med antalet, dagar, år etc.
Antar lite att derivatan ska representera skillnaden i tid (kanske) men är inte alls säker.
För att veta på vilken nivå du vill få svaret: Vilka mattekurser har du läst? Vet du vad som menas med derivata?
Läser ma3c just nu, och läst fram till derivata. Derivartan ska vissa förändring(tid,hastighet) hos en känd funktion
De deriverar funktionen som anger hur mycket kol-14 det finns för att få fram aktiviteten. Aktiviteten är derivatan av substansmängden.