1
svar
211
visningar
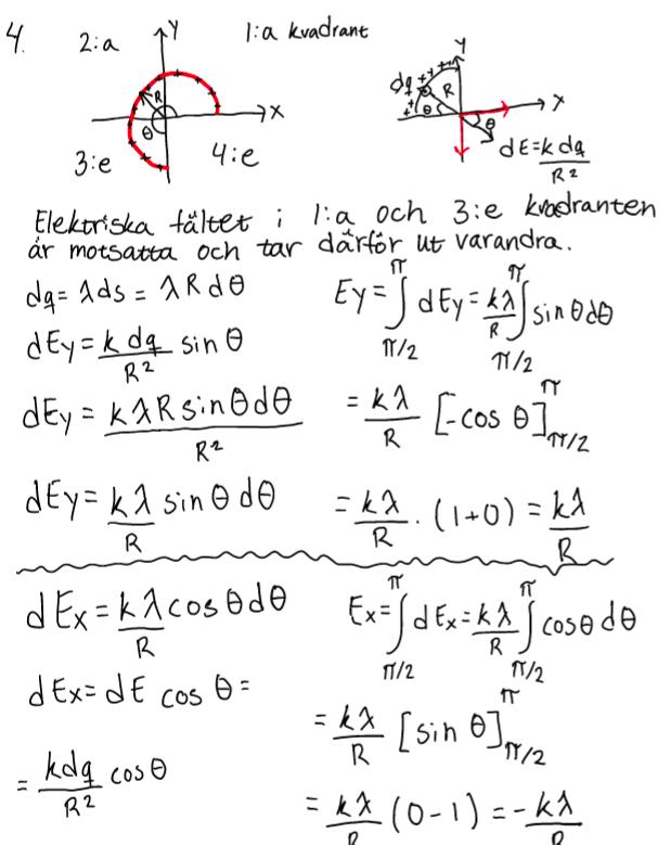
Vad är potential och elektriska fältet i origo av en isolator.


Har försökt integrera över 2:a kvadranten men känner mig väldigt osäker på hur man beräknar potentialen och elektriskt fält i origo av en 3/4 cirkel. Förstår inte heller hur man beräknar lambda?
Laddningen är "utsmetad" över en s.k. tunn isolator (antag jämnt fördelat) vilket gör att? Kom ihåg att laddningstätheten då definieras som laddning per längdenhet:
I övrigt har du gjort helt korrekt. Du har bestämt fältet som:
Hur bestämmer du potentialen? Kom ihåg att:
Tillägg: 11 jan 2022 13:52
Som en notis skulle jag rekommendera att man googlar på engelska då exakta lösningsförslag och fullständiga förklaringar går att hitta enkelt:
Eller denna: