Vad är sannolikheten att minst en av de fyra händelserna inträffar?


Hej!
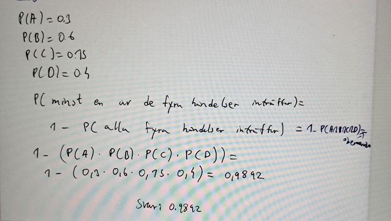
Jag fick fel på denna uppgift under en ks som jag skrev för en vecka sen. Enligt min lösning så tolkade jag uppgiften som att de menade 1-P(alla 4 inträffar) men jag är ej med på hur denna uppgift ska ha tolkats och varför P(minst en av 4 händelser inträffar) ska tolkas som 1-P(ingen inträffar)?
Det kan inträffa 0, 1, 2, 3, 4 händelser. Minst 1 betyder att det kan hända 1,2,3,4 händelser. Då ser vi direkt att det enda som inte är inkluderat i ”minst 1” är 0, alltså betyder det att ”exakt 0 inträffar” är komplementet till ”minst 1”. Så, P(minst en inträffar)=1-P(0 inträffar)
Hondel skrev:Det kan inträffa 0, 1, 2, 3, 4 händelser. Minst 1 betyder att det kan hända 1,2,3,4 händelser. Då ser vi direkt att det enda som inte är inkluderat i ”minst 1” är 0, alltså betyder det att ”exakt 0 inträffar” är komplementet till ”minst 1”. Så, P(minst en inträffar)=1-P(0 inträffar)
Jaha ok. Så mitt svar betyder P(ingen inträffar)=1-P(alla inträffar)? Det är det misstaget jag gjorde. Men samtidigt verkar vi göra på samma sätt här ändå? Jag har ju också P(ingen inträffar) dvs 1-P(alla inträffar). Logiken är typ det som stör mig här, för jag förstår absolut vad minst betyder när du förklarar.
Nja, om du räknade 1-P(alla inträffar) får du sannolikheten att maximalt 3 inträffar. Eftersom komplementet, eller ”motsatsen”, till 4 inträffar är 0,1,2 eller 3 inträffar, dvs maximalt 3.
Hondel skrev:Nja, om du räknade 1-P(alla inträffar) får du sannolikheten att maximalt 3 inträffar. Eftersom komplementet, eller ”motsatsen”, till 4 inträffar är 0,1,2 eller 3 inträffar, dvs maximalt 3.
1) Är det som att säga att P(X=4)=1-P(X=3) dvs X=antal träffar? Då kan man ju bara lösa ut P(X=3) så får man 1-P(X=4) vilket är att det är maximalt 3 träffar.
2) Men konstigt att det inte är rätt metod för att svara på frågan eftersom maximalt 3 antal träffar ingår ju även 0.
3) Sen säger du att komplementet till 4 är 3 men är inte komplementet något som inte ingår i mängden eller är det motsatsen till något? 3 ingår i antal 4 träffar.
destiny99 skrev:Är det som att säga att P(X=4)=1-P(X=3)
Nej. Det blir P(X=4) = 1 - P(X = allt annat än 4)
Om man tänker sig att X = exakta antalet händelser som inträffat, så
P(X=4) = 1 - P(X = 0 eller X = 1 eller X = 2 eller X = 3) = 1 - P(X ≤ 3)
OBS: "X = exakta antalet händelser som inträffat" är inte det lämpligaste valet av stokastiska variabeln i denna uppgift då de fyra händelserna har olika sannolikheter. Å andra sidan är det ganska lätt att beräkna P(X=0), vilket räcker i denna uppgift. (Det är lika lätt att beräkna P(X=4). Däremot är det inte lätt att beräkna sannolikheten för de övriga värdena på X.)
"minst en händelse" betyder "en eller fler händelser", d.v.s. "en eller två eller tre eller fyra av händelserna A,B,C,D"
LuMa07 skrev:destiny99 skrev:Är det som att säga att P(X=4)=1-P(X=3)
Nej. Det blir P(X=4) = 1 - P(X = allt annat än 4)
Om man tänker sig att X = exakta antalet händelser som inträffat, så
P(X=4) = 1 - P(X = 0 eller X = 1 eller X = 2 eller X = 3) = 1 - P(X ≤ 3)
OBS: "X = exakta antalet händelser som inträffat" är inte det lämpligaste valet av stokastiska variabeln i denna uppgift då de fyra händelserna har olika sannolikheter. Å andra sidan är det ganska lätt att beräkna P(X=0), vilket räcker i denna uppgift. (Det är lika lätt att beräkna P(X=4). Däremot är det inte lätt att beräkna sannolikheten för de övriga värdena på X.
"minst en händelse" betyder "en eller fler händelser", d.v.s. "en eller två eller tre eller fyra av händelserna A,B,C,D"
Ja minst betyder alltid unionen här. Så om det är olika sannolikheter så funkar inte exakta händelser eller jag vet inte riktigt om jag förstår dig där. Men vi har ingen unionen för alla händelser dvs AUBUCUD utan separata sannolikheter för dessa händelser. Hur som helst så borde jag bara ha tänkt P(minst en av händelser) är unionen och sen komplementet av unionen * som man gör med P(A)=1-P(A*).