4
svar
263
visningar
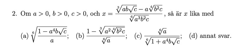
Vad är x lika med?

Tydligen är b rätt svar, hur kommer jag fram till det?
Jag har räknat och kom fram till att b är rätt svar.
Använd potenslagarna
Du måste används potenslagar på talen a b och c och sedan jämföra med svarsaltnerativen.
Om frågan skall lösas snabbt men utan att redovisa lösningen kan man:
börja med att sätta in a=b=c=1 och direkt utesluta alternativ c eftersom det inte blir 0.
Sen kan du testa med a=8, b=c=1 och direkt utesluta a eftersom det ger att x som är komplext. Vilket det ursprungliga uttrycket inte blir.
Kvar är sedan bara att välja mellan b och d. Något förslag på hur det görs snabbt?

Jag gjorde det på detta sätt och kunde utesluta a och c.