Vad betyder "Irreducibla polynom"

Jag fattar inte vad man menar med "Irreducibla polynom"

facit:

Ett irreducibelt polynom är ett polynom som inte kan faktoriseras som två eller fler (icke-konstanta) polynom. Definitionen står på mitten av sidan. Till exempel är irreducibelt över , eftersom det saknar reella rötter och därför inte kan skrivas som .
Däremot är inte irreducibelt över , eftersom vi då tillåter komplexa tal: .
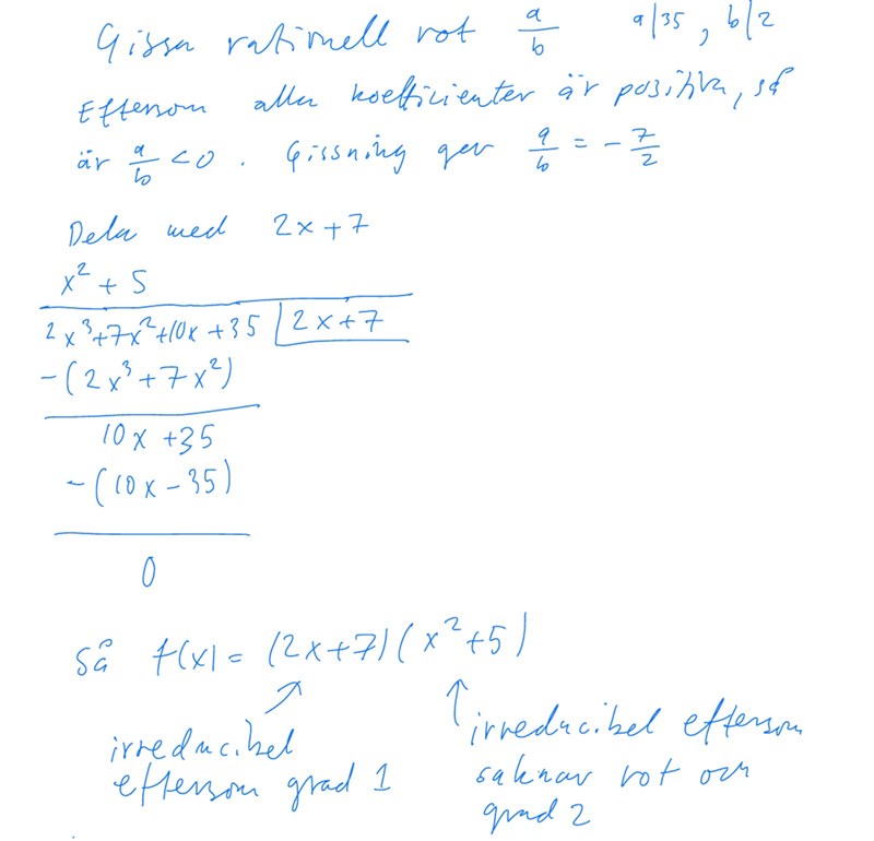
Tack men jag fattar inte vad facit menar gällande resonemanget om (x^2 +5). Jag fattar såklart att den inte har reella lösningar men varför nämner facit att den är av grad 2?
För att ett polynom av grad två ska vara reducibelt, måste det gå att faktorisera i två förstagradsfaktorer (linjära faktorer). En sådan linjär faktor finns om och endast om polynomet har en rot . Detta brukar kallas för faktorsatsen.
Om ett polynom av grad 2 saknar reella rötter, är det därför irreducibelt.
Notera också att om ett polynom av grad 3 saknar reella rötter, är det också irreducibelt (varför?).
Vi kan dock inte dra denna slutsats om polynomet är t.ex. av grad 4, för det skulle kunna vara en produkt av två irreducibla polynom av grad 2. Exempelvis är . Detta är ett reducibelt polynom som saknar reella rötter.