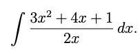
Vad blir integralen?

Försöker köra primitiva funktionen genom att flytta upp x till täljarn med det blir ju bara 1. Därefter dividerar jag med två på alla delar och kör primitiva funktionen av det som är kvar med det blir fel.
Om du delar med x och bryter ut 1/2 utanför.
Visa vad du gjort. Det borde fungera.
Varför tycker du att det är fel?
Laguna skrev:Varför tycker du att det är fel?
för att facit anger den första som x
Du skriver svenska väldigt mycket finare än du skriver matte.
Förutom +c tycker jag att du gjort rätt, vad är problemo?
Qetsiyah skrev:Du skriver svenska väldigt mycket finare än du skriver matte.
Förutom +c tycker jag att du gjort rätt, vad är problemo?
Hahaha, några tips på att skriva finare matte? Ja det stämmer ju inte med facit, det jag har markerat ska ju egentligen bli x inte 1,5/2x^2
Jag tycker också det ser bra ut. Kan vi rösta om saken?
Men då tror jag facit är fel.
Du får träna helt enkelt. dx och x kan du ju skriva i skrivstil.
