Vad blir resten? Uppgift där man kan använda derivering för att hitta resten
Uppgiften jag behöver hjälp med lyder:
Vad blir resten om
delas med ?
Divisorn kan även skrivas
Oförenklade uttryck är tillåtna.
Nu ska jag skriva ner hur långt jag har kommit, så kanske någon här på pluggakuten kan hjälpa mig med det sista, eller komma på ett alternativt sätt att lösa uppgiften.
Jag finner en reell rot x = 2 i divisorn. Divisorn kan även skrivas
r(x) kommer att vara ett förstagradsuttryck på formen ax+b eftersom resten ska vara av lägre grad än det man delar med.
Vi ansätter polynomet
När x = 2 är
Genom att sätta in x = 2 i likheten ovan får vi att
Men samtidigt är
när jag stoppar in 2 i polynomet
Speciellt med denna uppgift är att divisorn har en dubbelrot,
för om man löser andragradsekvationen så får vi lösningarna
Nu har jag alltså kommit så långt att jag har räknat ut att
Jag behöver nu ytterligare en ekvation för att få fram a och b.
Om man hade haft två olika rötter skulle man ha kunnat ställa upp en ekvation med hjälp av dem, men nu har vi ju en och samma rot 2 gånger (nämligen 2).
Man kan ta hjälp av analys och derivera båda sidor.
Jag ska räkna ut
Men nu blev det svårt.
Vet inte om du sitter vid en dator, men din fråga är väldigt svår att läsa på en telefon.
Pröva att dela upp de matematiska uttrycken på flera rader.
Hejsan Yngve, ja jag sitter vid en dator.
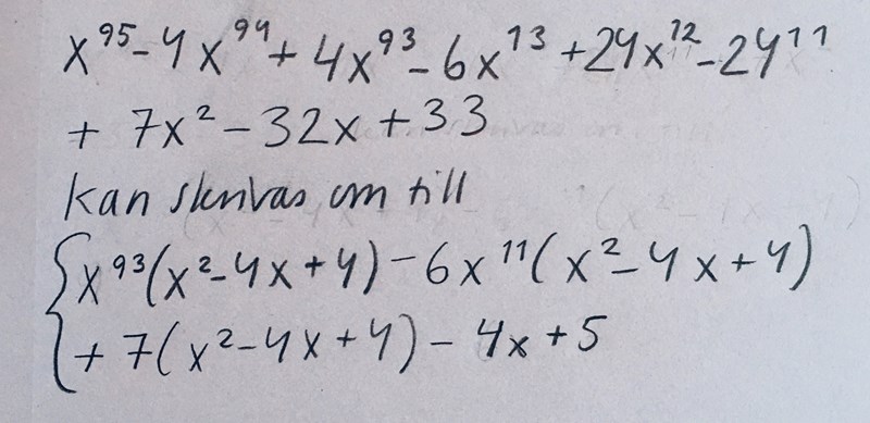
Jag prövar att lägga en bild av uppgiften handskriven. Jag ändrar även i mitt första inlägg så det inte blir så mycket på varje rad.
Jag fyller på med mer i första inlägget. Jag har kommit ganska långt i lösningen. Men jag ville spara emellan, så inte allt jag skrivit råkar försvinna innan jag postat. Därför fylls det på med mer i första inlägget, som kan vara värt att kolla.

Titta på ditt uttryck. Ser du att det först är tre termer där man kan bryta ut faktorn x93, tre faktorer termer där du kan bryta ut -6x11 och till sist tre termer där man inte kan bryta ut något lika uppenbart? Ser du något intressant med det som blir kvar i de två första parenteserna?
Kommer du vidare?
Varför skriver du i rubriken att man behöver derivera för att lösa den här uppgiften? Jag förstår inte vad det skulle göra för nytta.
Hej Smaragdalena!
Jo, jag har fått det rådet från handledarna på kursen Matematik 1.
Så här menar de:
Hade vi haft 2 olika rötter i divisorn så skulle vi ha kunnat utnyttja det för att få två olika ekvationer.
Om vi har rötterna 1 och -1 kan vi ju sätta in dem i polynomet och få ut två olika resultat. Sedan kan vi skapa 2 ekvationer utifrån detta, ax+b=p(1) och -ax+b=p(-1).
Då kan vi lösa ut a och b och alltså få veta vad resten blir, eftersom att vi även kunnat räkna ut vad p(1) och p(-1) är.
Men nu föreslår handledarna att man ska göra något med likheten så att man skapar en ny identitet men behåller egenskaperna. Man kan derivera båda sidor.
P'(2) kan man ju räkna ut, men hur ser vänsterledet ut? Jag antar att de menar r'(2), hur ser det ut?
Vi har ju fått att
r(2)=2a+b och att p(2)=-3.
Då har vi fått ekvationen 2a+b=-3.
Men vi behöver en ekvation till om vi ska kunna ställa upp ett ekvationssystem och lösa ut a och b (x-termen och konstanttermen i resten).
Då vore det ju perfekt att ha deriverat p(2) och r(2) så kan man få denna andra ekvation.
Så här kan man göra:

Termen 2Q(x)(x-2) får man när man deriverar Q(x)(x-2) enligt produktregeln.
När jag ska derivera p(2) ska jag då först derivera p(x) och sedan sätta in 2? Det verkar väl bäst? Kan jag förenkla p(2)? Det är ett så evinnerligt långt uttryck.
Jag ska titta närmare på Smaragdalenas förslag i tidigare inlägg, om att bryta ut termer i det långa uttrycket.
Fortsätter med det inom kort. Tack för hjälpen!
Du krånglar till det något alldeles förfärligt.
Du utgår från uttrycket som kan skriva om till . Vilken blir resten om detta uttryck divideras med ?
Smaragdalena skrev:Du krånglar till det något alldeles förfärligt.
Du utgår från uttrycket som kan skriva om till . Vilken blir resten om detta uttryck divideras med ?
-6x+7 ?
blir det inte -4x+5 ?
Tack Smaragdalena!
Ja, din metod var något smidigare ;-) Du är ett geni!
Ja, joculator, ditt svar är alldeles rätt och riktigt!

Jag hade lite för bråttom på slutet, och scrollade inte upp utan trodde att jag kom ihåg...
Alternativ (krångligare) metod med derivering.
R’(x) = a.
R’(2) = a och P’(2) = -4 vilket ger ekvationen
a = -4
Tillsammans med den tidigare ekvationen får vi
ekvationssystemet
2a + b = -3
a = -4
Vi sätter in -a i den första ekvationen och får
(2 * -4) + b = -3,
-8 + b = -3,
b = 5.
Resten är alltså -4x + 5.
Jag skulle jättegärna vilja se hur ni hade gjort för att derivera P(2). Jag gissade att alla komplicerade termer i början tog ut varandra och att de två sista termerna 28-32 var det som blev kvar som P’(2), dvs -4. Skriv gärna hur ni hade deriverat P(2).
Tack!
