20 svar
214 visningar
Inspiredbygreatness behöver inte mer hjälp

Vad blir x värdena?

Någon som kan ge mig en hint på hur jag ska gå vidare?

Yngve 42666
Postad: 29 nov 2017 14:20 Redigerad: 29 nov 2017 14:21
Inspiredbygreatness skrev :

Någon som kan ge mig en hint på hur jag ska gå vidare?

Ekvationen saknar lösning.

Hur lyder uppgiften?

alex_alex 9 – Fd. Medlem
Postad: 29 nov 2017 14:24

Du måste ha missuppfattat uppgiften, eller så är det en kuggfråga.

Om du kollar på din kvot. Kommer den någonsin kunna bli noll?

tomast80 4299
Postad: 29 nov 2017 14:34

Är det möjligen y'(x)=0 y'(x) = 0 som är den rätta frågan?

Det är bara ett exempel jag kom på, jag vill veta vilka x punkterna är när y är noll. 

Det här är från en uppgift :

Inspiredbygreatness 338 – Fd. Medlem
Postad: 29 nov 2017 15:27 Redigerad: 29 nov 2017 15:32

Alltså inte när lutningen är noll utan jag vill veta x värdet när (x,0)

Yngve 42666
Postad: 29 nov 2017 16:02
Inspiredbygreatness skrev :

Alltså inte när lutningen är noll utan jag vill veta x värdet när (x,0)

Som jag sa. Ekvationen saknar lösning. y antar aldrig värdet 0.

Om du ritar grafen till y = 48/(x^2 + 24) så konmer den att närma sig x-axeln (dvs y = 0) mer och mer ju längre bort från origo man kommer, men grafen kommer aldrig att nudda x-axeln.

(Man säger att asymptoten till grafen är y = 0).

Bubo 8054
Postad: 29 nov 2017 16:53

Samma ekvation i ett praktiskt exempel:

Du har 48 kg äpplen. Hur många människor ska dela på äpplena för att var och en ska få precis ingenting?

Okej jag ser nu att som du säger så nuddar aldrig grafen x axeln där kan det inte bli y = 0.

nu förstår jag att det inte var de x värdena uppgiften ville veta.

Jag ska istället lösa

y ''=0

Har jag deriverat rätt?

Yngve 42666
Postad: 29 nov 2017 18:29
Inspiredbygreatness skrev :

Okej jag ser nu att som du säger så nuddar aldrig grafen x axeln där kan det inte bli y = 0.

nu förstår jag att det inte var de x värdena uppgiften ville veta.

Jag ska istället lösa

y ''=0

Har jag deriverat rätt?

Det är jättesvårt att se vad det står, men det ser inte rätt ut.

Andraderivatan ska bli

y''=-288(x2-8)x2+243

Hur fick du det resultatet? 

Deriverade du y' =-(48x/(x^(2)+12)^(2))?

Yngve 42666
Postad: 29 nov 2017 23:28 Redigerad: 29 nov 2017 23:28
Inspiredbygreatness skrev :

Hur fick du det resultatet? 

Deriverade du y' =-(48x/(x^(2)+12)^(2))?

Förlåt, jag gjorde ett teckenfel vid deriveringen. Det ska bli y''=288·x2-8x2+243

 

Så här:

y=48x2+24=48·x2+24-1

Detta är en sammansatt funktion med inre derivata 2x (blåmarkerad):

y'=-1·48·x2+24-2·2x=-96x·x2+24-2

Derivera igen, använd produktregeln (fg)' = f'g+fg', där f=-96x och g=x2+24-2:

y''=-96·x2+24-2+(-96x)·-2·x2+24-3·2x

Förenkla:

y''=-96·x2+24-2+96·4x2x2+24-3=96·4x2x2+24-3-x2+24-2

Förenkla mer:

y''=96·4x2x2+243-1x2+242

Gemensamt bråkstreck:

y''=96·4x2-x2+24x2+243=96·4x2-x2-24x2+243=96·3x2-24x2+243

Bryt ut 3 ur täljaren:

y''=96·3·(x2-8)x2+243=288·x2-8x2+243

y=24x2+12y' =-48x(x2+12)2

Tack för svaret men det är det som är ovan som jag försökte derivera till y''.

Smaragdalena 78892 – Avstängd
Postad: 30 nov 2017 06:54
Inspiredbygreatness skrev :

y=24x2+12y' =-48x(x2+12)2

Tack för svaret men det är det som är ovan som jag försökte derivera till y''.

Gör likadant som Yngve gjorde, men med rätt siffror.

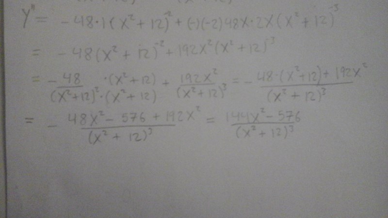
y''=144x2- 576(x2+12)3 

Det är det här jag fick när jag deriverade y', är det rätt?

Jag deriverde på följande sätt:

Yngve 42666
Postad: 2 dec 2017 00:42

Ja det är rätt. Täljaren kan förenklas till 144(x2-4) 144(x^2-4)

Yngve skrev :

Ja det är rätt. Täljaren kan förenklas till 144(x2-4) 144(x^2-4)

Ja precis genom att bryta ut 144.

Nu är jag osäker på hur jag ska lösa y'' =0 

Någon som vet?

Yngve 42666
Postad: 3 dec 2017 16:54 Redigerad: 3 dec 2017 16:57
Inspiredbygreatness skrev :
Yngve skrev :

Ja det är rätt. Täljaren kan förenklas till 144(x2-4) 144(x^2-4)

Ja precis genom att bryta ut 144.

Nu är jag osäker på hur jag ska lösa y'' =0 

Någon som vet?

Ja. Det är mycket enklare än du tror.

Du har ett uttryck av formen a/b, som ska ha värdet 0.

Vad gäller för a och/eller b för att ekvationen a/b = 0 ska vara uppfylld?

x2+123 som 144 försvinner eller blir noll är osäker på detta men  x2-4 blir ±2.

Stokastisk 3597 – Fd. Medlem
Postad: 3 dec 2017 19:59

Eftersom ekvationen är

144(x2-4)(x2+12)3=0

Så multiplicera båda sidor med (x2+12)3 (x^2 + 12)^3 , (detta kan aldrig vara noll). Så får man

144(x2-4) =0

Dividera båda sidor med 144 och sedan addera 4 till båda sidor så får man

x2=4 x^2 = 4

Dra roten ur båda sidor så får du x=±2 x = \pm 2 . Så det är alltså korrekt att ±2 \pm 2 är lösningarna.

 Jaha så att det blir 1*1 av x2+123 och 144, nu förstår jag. Och att tal som dessa ska aldrig bli noll eller bara försvinna, bra att veta. Tack alla för hjälpen!

Svara
Close