Vad börjar man med denna uppgift? Har ingen aning om vart jag ska börja eller hur jag ska göra?

Om något är noll men ökande i en punkt, vad har det för tecken till höger om den punkten?
Om det är nollgradigt men på väg att blir varmare på morronen (klockan fyra -- blink-blink), är det troligt att det är plus- eller minus-grader lite snare (t.ex klockan fem)?
Så, det är ditt svar, men är det fortfarande lika obegripligt?
Ja ganska förstår inte riktigt hur man ska skriva upp det?
Man kan också börja med att försöka översätta texten:
Bestäm derivatans tecken för x=x1
• Är derivatan positiv eller negativ för x=x1 ?
• Är funktionen växande eller avtagande för x=x1 ?
• Lutar tangenten till grafen uppåt eller nedåt för x=x1 ?
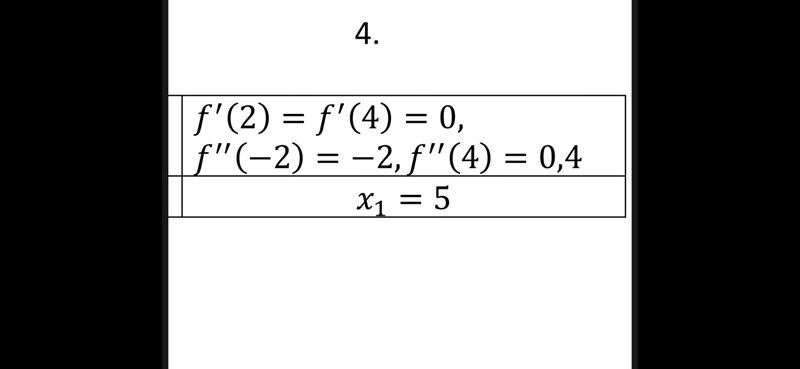
f ’(2) = f ’(4) = 0
• Funktionen är stationär för x=2 och x=4
• Tangenten till grafen är vågrät för x=2 och x=4
f ’’(-2) = -2 [har du skrivit av rätt här?]
f ’’(4) = 0,4
• Derivatan är växande runt x=4.
Eftersom funktionen är stationär för x=4, så är då (4; f(4)) en minimipunkt.
• Tangenten till grafen har växande lutning runt x=4.
Eftersom den är vågrät för x=4, så är då (4; f(4)) en minimipunkt.
Men hur det blir för x=5 kan vi inte säga utan att veta mer om funktionen.
Vad står det om funktionen i uppgiftstexten?
Är den deriverbar överallt?
Har derivatan fler nollställen än x=2 och x=4?

Detta plus texten jag skrev på första bilden är allt man fick reda på, detta var en tentafråga så den är rätt skriven
Det står en väldigt, väldigt viktig sak i bilden som du inte hade med i ditt förstainlägg - att f(x) är en tredjefunktion. Det är inte schysst av dig att undanhålla så viktig information!
En tredjegradsfunktion kan skrivas som f(x)=ax3+bx2+cx+d. Vad är f'(x)= Vad är f''(x)? Använd information från uppgiften för att bestämma värdet på konstanterna a, b och c.
Det var något helt annat!
f(x) är tydligen ett tredjegradspolynom.
Hur brukar tredjegradskurvor se ut?
Just den här har en max-punkt för x=2 och en min-punkt för x=4.
Vad kan man då säga om derivatans tecken för x= 5?
Så jag ska rita upp grafen först?
moonlighttt skrev:Så jag ska rita upp grafen först?
Ja, börja med det. Det är nästan alltid en bra idé att börja med att rita.