5
svar
358
visningar
Anonym_15 behöver inte mer hjälp
Vad gör jag fel?
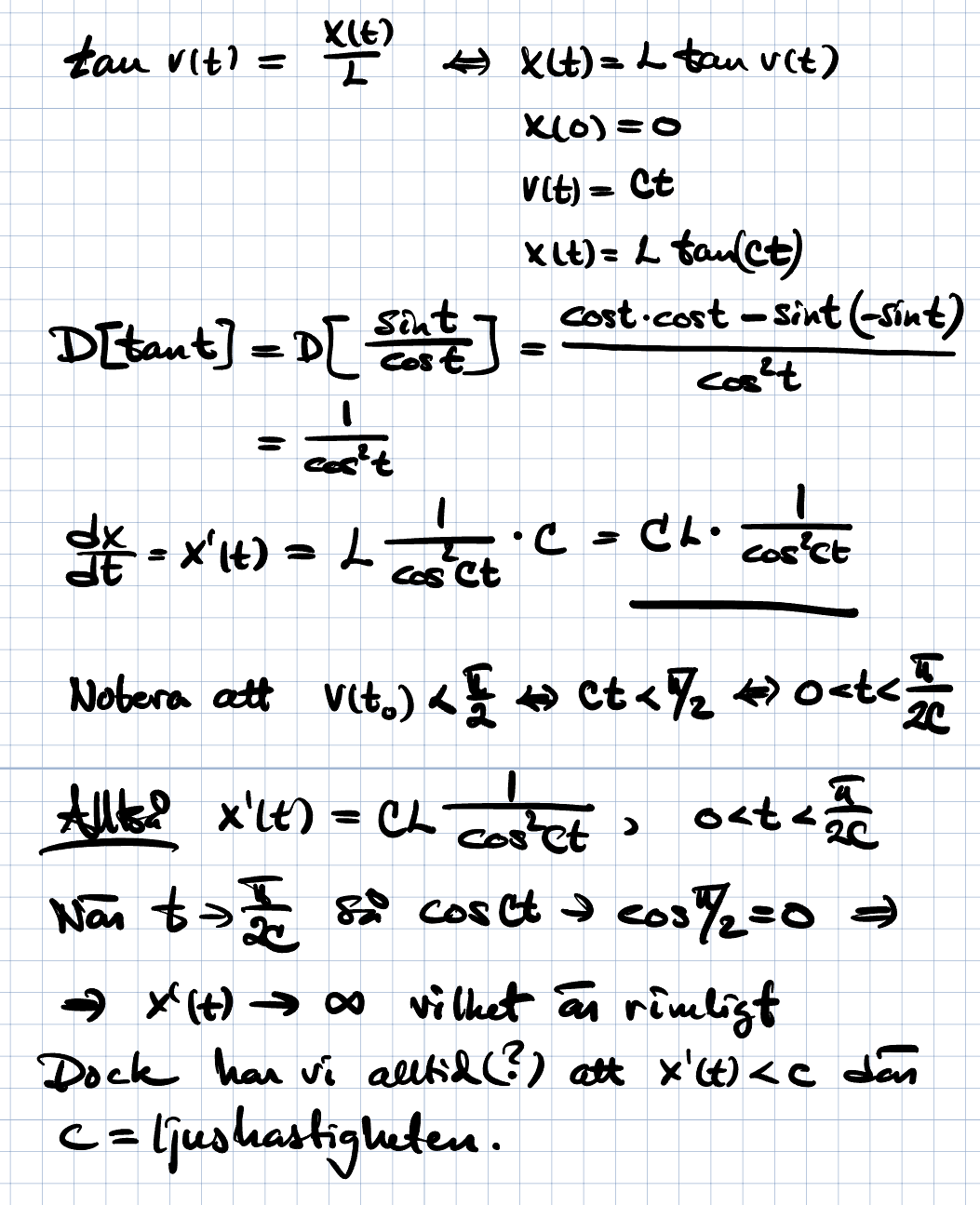
Hej, har stött på följande fråga:

Mitt svar följer här nedan.
Om målet är att först skriva ett uttryck för hur sträckan beror av vinkeln, varför skriver man då att vinkeln ska vara C*t?
Kan denna tråd hjälpa dig?
Hej, har redan läst den men känner inte riktigt att jag förstår.
Hej, skulle verkligen uppskatta hjälp:)
Anonym_15 skrev:Hej, skulle verkligen uppskatta hjälp:)
