1
svar
108
visningar
trigonometrisk ekvation

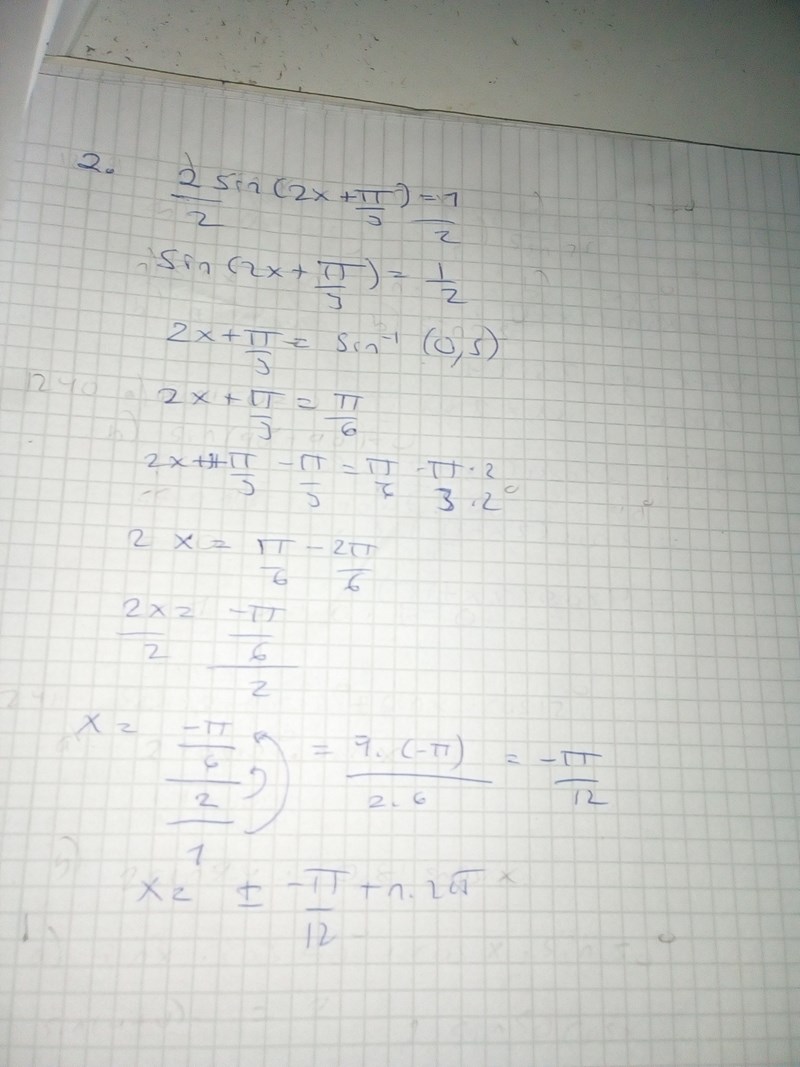
behöver hjälp med 2an vad gör jag fel
Bytte rubrik från "Vad gör jag fel!!!!" till en som följer Pluggakutens regler /Smaragdalena, moderator
Varifrån får du +/- på slutet?
Hur blir det med perioden?