3
svar
345
visningar
Vad gör jag för fel? Bestäm ljudets hastighet


Hej, är det någon som kan tänka sig förklara för mig vad jag gör för fel i min beräkning? Svaret ska vara 340 m/s.
En pipa öppen i ena änden, sluten i den andra, har sin första resonans vid 1/4 våglängd,
Den andra vid 3/4, osv
Är det inte en halvöppen pipa?
Kayden skrev:
Ett bättre sätt är att göra en graf av resonanslängden som funktion av ordningstalet.
Varje nästa resonans är en halv våglängd längre.
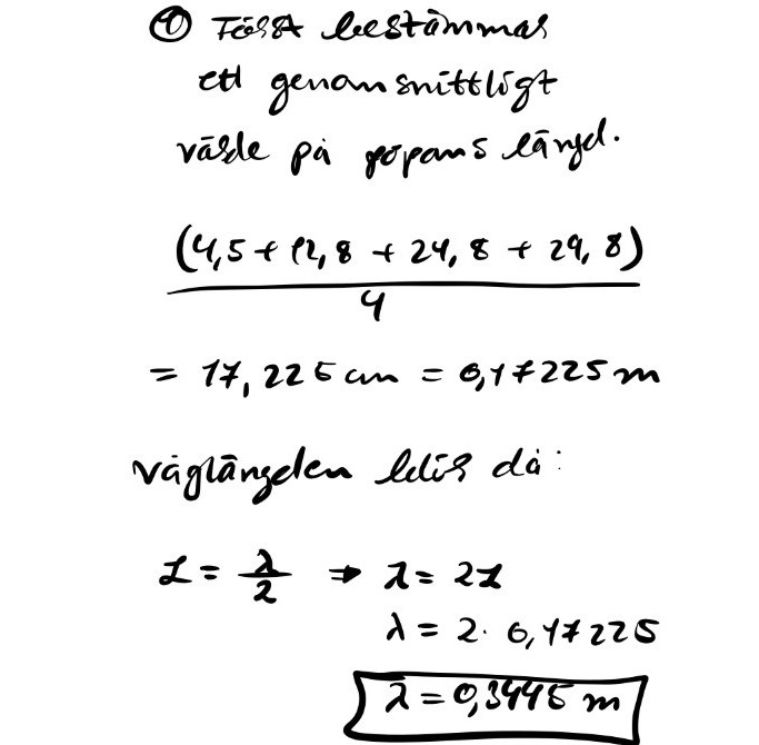
Ett enkelt sätt att bestämma λ kan göras så här:
Det ena paret av värden ger λ = 17,0 cm, det andra paret ger λ = 17,3 cm. Man kan ta medelvärdet av dessa.
Den första resonansen sker i teori vid λ/4, men den påverkas av ändeffekter.
