1
svar
125
visningar
Vad gör man när det finns v^2 i en differentialekvation? (Matte 5 Origo 3130)
Visa spoiler
Skriv ditt dolda innehåll här

vet inte riktigt vad man gör efter det här. Jag tänkte att man kanske tar över v^2 till andra sidan o lägger det lika med noll, men jag vet inte hur Ce^kx grejen skulle se ut. Tänkte sen att man kanske lägger v' som noll och hittar v, men vet inte vad jag skulle göra med det värdet sen. Behöver lite hjälp
Att lösa den explicit ligger nog utanför kursen utan du skall troligen göra en numerisk lösning.
(Denna är ett specialfall av https://en.wikipedia.org/wiki/Riccati_equation. I ditt fall dividerar man båda sidor med 9.81-14v^2 och partialbråksuppdelar och integreraroch får till slut

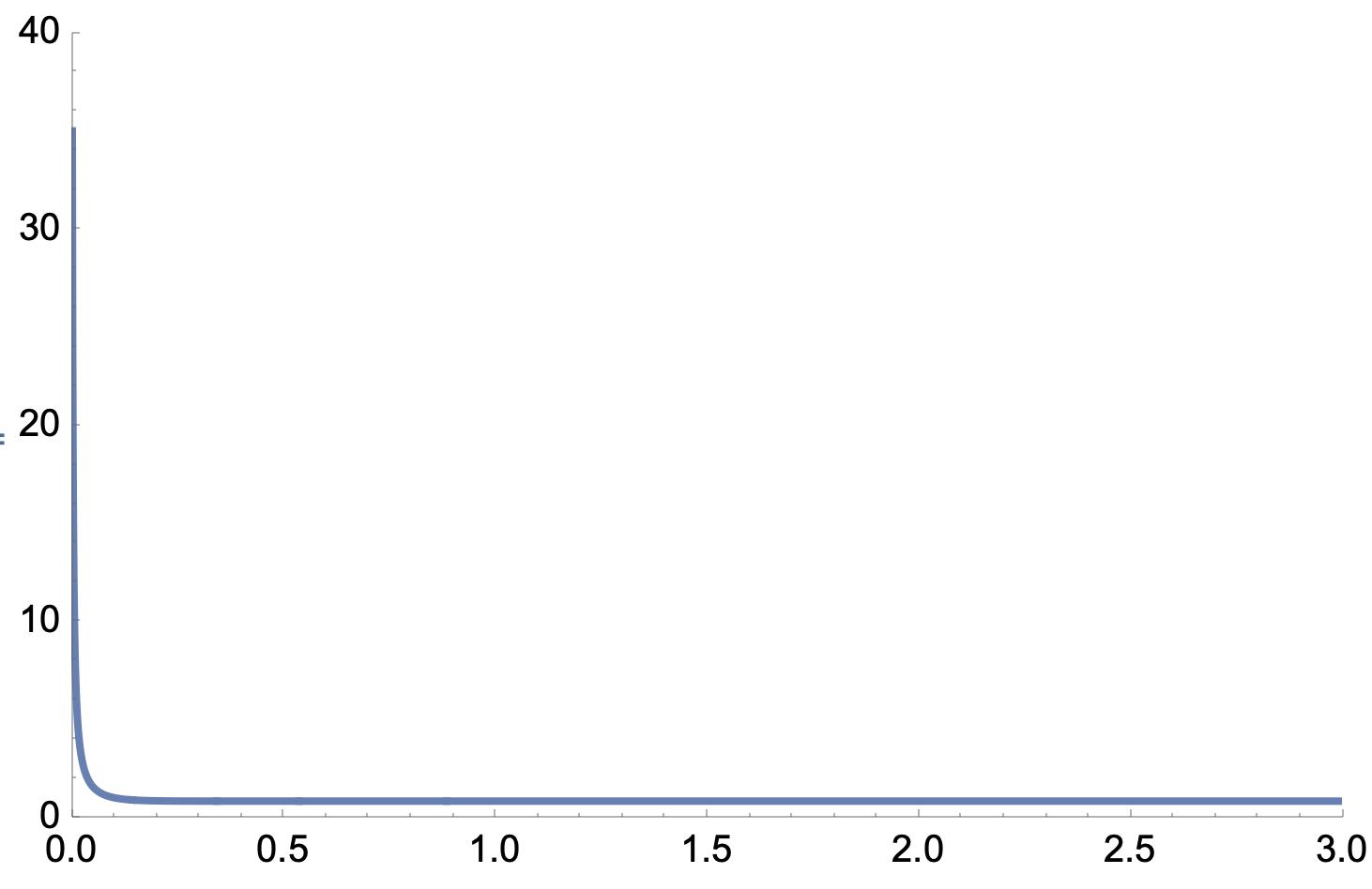
Hastigheten sjunker snabbt till en (nästan) konstant hastighet

