Vad händer i andra ledet? Derivering av arctan

Jag har varit fast hur länge som helst på denna
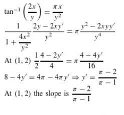
Vad händer i andra ledet den andra termen på vänster sida av likhetstecknet?
jag är med på derivatan av tan^-1 men förstår inte alls hur termen i vänsterledet tas fram, eller hur man får fram hela värdet i högerledet
Jag försökte först med implicit derivering och fick , och satte sedan in värdena (1,2) men fick fel svar
Låt
Då är derivatan av kvoten
Derivatan av den sammansatta funktionen map x är
Jroth skrev:Låt
Då är derivatan av kvoten
Derivatan av den sammansatta funktionen map x är
Lyckades lösa det precis, men fattar inte hur man tar fram det högra ledet och specifikt hur det kan bli y^4 i nämnaren på original uppgiften, ()
Det är återigen derivatan av en kvot
Jroth skrev:Det är återigen derivatan av en kvot
tackar!