Vad har jag gjort fel på denna uppgift
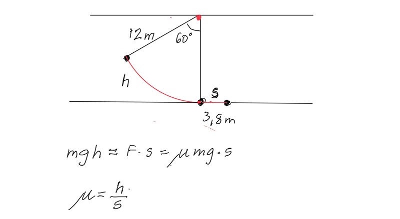
Jag börjar med att räknar ut vad höjd skillnaden mellan lianen vinklad och när den är som närmast backen, som blir h=(cos(60)/12)-12*cos(60), sedan vet vi att den potentiella energin är lika med den kenetiska energin när george släpper lianen Ek=mgh.
Sedan vet vi även att arbetet det tar att stanna george är lika stort som den kenetiska energin när han släpper.
mgh=Wf
3.46mg = 3.8Ff
Då får vi ut att, Ff=(3.46mg)/3.8.
Eftersom Fn = mg
Så kan vi räknar ut friktions talet på följande sätt, Ff=μ*Fn.
Men som blir ungefär μ=4.7, vilket inte stämmer då svaret är 1.6
Läs uppgiften ordentligt en gång till och rita en skiss över situationen.
Visa gärna din skiss så vi ser att du fått till allt rätt.
Ser nu att jag satt vinkeln vid horizental planet lol
Men hur sätter jag den vid vertikal planet då det är en lian fast satt i taket son är horizentelt
Ska jag bara anta att den 60 gradersvinkeln ska hamna i triangeln som jag skapar för att räkna ut höjd skillnaden
Rita en vertikal linje som utgår från den punkt där lianen sitter fast. Visa din skiss.
Jan Ragnar skrev:
JA så har jag även ritat
Vilket värde har du fått på h2 ?
Ture skrev:Vilket värde har du fått på h2 ?
Den mirakulösa höjden 24-6= 18 meter
AlexanderJansson skrev:Ture skrev:Vilket värde har du fått på h2 ?
Den mirakulösa höjden 24-6= 18 meter
6 meter ska det egentligen vara inser jag nu, men fattar ej vad jag gjort fel h2=h-h1???
Yes!
Ture skrev:Yes!
Men varför blir h-h1= 18 och inte 6 i min uträkning??? h1 är tydligen 6. när det inte är logiskt då, h1 borde va större än h2 som är 18. Enligt min skiss
H1+h2 = 12, dvs en replängd.
H1 = 12*cos(60) = 6
Oj hade gjort att skiten förlänbgt sig som en gummi snod ajajajaj, vad dum jag känner mig förlåt hörree du.
Du behöver inte be om ursäkt!
Det viktiga här är
- att läsa uppgiftslydelsen noggrannt
- att göra en skiss som tankestöd
- att göra rimlighetsbedömningar av resultaten
AlexanderJansson skrev:Oj hade gjort att skiten förlänbgt sig som en gummi snod ajajajaj, vad dum jag känner mig förlåt hörree du.
Om jag fick en femma för varje gång jag skrivit något tokigt eller gett dåliga råd på pluggakuten, skulle jag vara mer eller mindre förmögen vid det här laget!
Men jag har lärt mig mycket av mina misstag!




