3
svar
118
visningar
Anonym_15 behöver inte mer hjälp
Vad har jag gjort för fel?
Hej, har (nästan) löst denna uppgift men något är fel i min beräkning och jag kan inte hitta det. Frågan:
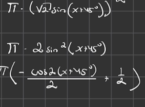
Det område som begränsas av de positiva koordinataxlarna och kurvan y = sinx + cosx får rotera kring x-axeln. Bestäm rotationskroppens volym.
Mitt svar:
(Skriv gärna om ni inte förstår min lösning)
Jag tror du tappar bort en 2a här

2sin2(x+pi/4) =
2*(1-cos2(x+pi/4))/2 =
1-cos(2x+pi/2)
som har nollstället 3pi/4
ger oss integralen
om vi använder additionsformeln för cos får vi att cos(2x+pi/2) =
-sin(2x) som sen ger oss
Tack!