1
svar
116
visningar
Olaf-Johansson behöver inte mer hjälp
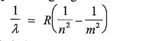
Vad kallas denna formel gjord av Balmer?

Rydbergs formel