vad menas med detta?
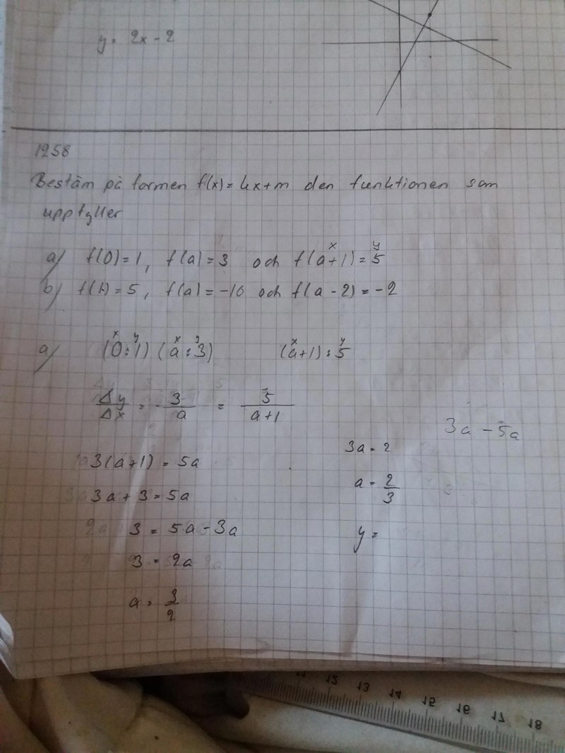
Bestäm på formen f(x)=kx+m den funktionen som uppfyller
X och y hamnar inte rätta ställen. Jag menar att det som är x koordinat och det som ät y koordinat. Det här x och y har hannat lite snett här nu. När jag har försökt sätta till tråden.
Du har fel nämnare i den nedersta differenskvoten - det skall vara där.
Du vet också att de tre punkterna ligger på samma räta linje, så de båda k-värdena måste vara lika, d v s .
EDIT: missade att det var fel i täljaren också.
Det står så här
f(0):1 , f(a)=3 , och f(a+1)=5
Vill ha mera förklaring. Klämmer inget vart.
Du har all info du behöver. Funktionen skall vara en rät linje. Du har själv skrivit två uttryck för lutningen. Ett av dem blev fel, men rätta det och sätt uttrycken lika. Sedan är du på god väg mot lösningen.
Det har jag gjort och fick 3/2.
Vilka uttryck sätter du lika?
Vad är det som är 3/2?
a= 3/2
Päivi skrev :a= 3/2
Nej, det stämmer inte.
Du nämner i en bisats att k måste vara 2. Är du med på att du nästan har löst uppgiften om du vet vad k är? Hur kom du fram till k=2?
Det är facit som har svaret.
K är riktnings koefficient mellan två y värden och x värdet. De dividerat ihop och då fick ja a= 3/2
Använd de två andra punkterna för att bestämma . Då får du ett enkelt uttryck för .
Hade du missförstått uppgiften? Du skriver att du inte kommer någon vart, men du var ju halvvägs klar. Ser du vad frågan är, exakt?
EDIT Aha - du hade inte hittat k=2. OK.
Jag har lite ont i huvudet idag, men jag tror att jag ska använda a som en av punkterna, eftersom jag har tagit reda på detta och fixa till y= kx + m
Då måste det gälla alla a värden.
Det är inte nödvändigt att bestämma . Det som efterfrågas är konstanterna och .
kan bestämmas direkt från punkten .
Nej.
Börja med att hitta linjens lutning. Ställ upp rätt ekvationer - som Smaragdalena visade.
Nej, fel av henne: Det ska ju vara 5-1 i täljaren
Vi har alltså fortfarande inte sett rätt ekvation här i tråden...
Nej. Fel på deltay.
Som sagt, det är en onödig omväg att bestämma .
f(x)=kx+m
steg I. du får reda på att f(0)=1 sätt in och du får 1=k*0+m vilket ger dig att m=1
steg II. du får reda på f(a)=3 vi kallar detta y_1
och f(a+1)=5 som vi kallar y_2
Det blev riktigt.
y= 2x +1
Tack så mycket för hjälpen för er alla!

