3
svar
138
visningar
heymel behöver inte mer hjälp
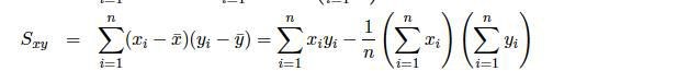
Vad räknar jag för fel i den här formeln

om data är
x= 0.5 ; 1 ; 1.5 ; 2 ; 2.5
y = 17 ; 26 ; 35 ; 47 ; 58
om man tittar på högerledet av ekvationen.
jag gör såhär, men får fel.. rätt svar ska bli 51.5, vad är det jag missar?
För försök med 35 i stället för 36 i uträkningen.
mattekalle skrev :För försök med 35 i stället för 36 i uträkningen.
neej? det ska vara 35??
Enligt vad du skriev i din fråga: Ja.
om data är
x= 0.5 ; 1 ; 1.5 ; 2 ; 2.5
y = 17 ; 26 ; 35 ; 47 ; 58
