Vad säger parametriska ekvation för en linje? Linjär algebra
Jag har svårt att förstå vad parametriska ekvationen för en linje säger för något. jag kan räkna och lösa uppgifter där det används men vill förstå vad jag håller på med
vektorekvataionen för en linje:
tror jag är med på: är en vektor på linjen L som är parallell med där är en godtycklig punk på linjen L och är en specifik punkt på linjen dvs
Men parametriska ekvationen för linjen:
hänger inte med på vad det säger till skillnad från vektorekvationen? vilken information kan jag hämta från parametriska ekvationen som jag inte kan från vektorekvationen? vad är det för skillnad att säga att t i ovan formel är en parameter eller en skalär ?
har försökt förstå denna i några dagar men hittar inget som övertygar mig
någon som kan hjälpa mig förstå den?
Jag skriver vektorekvationen så:
Vektorerna och är ortsvektorer.
Jag skulle säga att det är samma sak.
Jag bifogar en bild till mitt förra inlägg:

Detta uttrycks med räta linjens ekvation på vektorform .
Från vektor- till parameterform:


Hoppas vi är någorlunda överens.
dr_lund skrev:Jag bifogar en bild till mitt förra inlägg:
Detta uttrycks med räta linjens ekvation på vektorform .
Från vektor- till parameterform:
Hoppas vi är någorlunda överens.
yes jag är med på detta men förstår fortfarande inte vad skillnaden mellan vektor- och parameterform är.
om någon frågar mig vad är parameter form så kan jag ej svara på det för jag vet ej hur jag ska formulera det i en mening. jag kan räkna med den för jag vet hur formeln ser ut men jag kan ej säga vad den är i en mening.
vektorform kan jag kan beskriva som jag gjorde i inledande inlägg men inte parameterform för vet ej vad det är har bara lärt men en formel
exempelvis det där z = z0 + tv (den sista i din bild) vad är det för något? hur ser den ut i planet R^3 ?
Som du ser är parameterformen uppdelad på tre ekvationer i : En ekvation för varje koordinat.
Vektorformen betonar vektorer snarare än koordinater.
dr_lund skrev:Som du ser är parameterformen uppdelad på tre ekvationer i : En ekvation för varje koordinat.
Vektorformen betonar vektorer snarare än koordinater.
okej då börjar det klarna
men vad innebär då en parameterekvation för en linje? om parameterformen är uppdelad i flera vektorer för varje koordinat, hur kan det bilda en linje då?
Om vi går över till två dimensioner kan vi säga att "Lilleby ligger 1 mil längre öster ut och 1 mil längre norrut än Storköping" är en beskrivning på parameterform och att "Lilleby ligger knappt 1½ mil nordost om Storköping" är en beskrivning på vektorform.
EDIT: mitt exempel är en punkt, inte en linje, mn jag hoååas liknelsen funkar ändå. Man kan kanske ha den raka vägen mellan Storköping och Lilleby istället?
Vänta lite, Marenare, så du inte blandar ihop begreppen.
Du kan se det såhär: En parameterframställning av en rät linje, kan du se som en
sorts " generator": för olika värden på parametern (reella talet/skalären, kärt barn har många namn) t, genereras punkter på linjen.
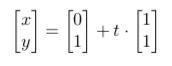
För att exemplifiera i : Räta linjen y=x+1, har en parameterframställning
Prova själv att generera punkter för några olika t-värden. Är du med att de genererade koordinaterna allesamman ligger på linjen?
Tillägg till mitt senaste inlägg.
För att anknyta till mitt exempel:
Linjen skrivs på vektorform:

Här ser du hur linjen "riktas upp" av riktningsvektorn .
Detta är en av finesserna med vektorformen -- vi betonar en riktning.

Hoppas du hänger med i resonemanget.
okej tusen tack nu är jag med ! tack!