1
svar
90
visningar
mona.1133 behöver inte mer hjälp
Vad står e för?
Hej! Jag undrar vad e står för?
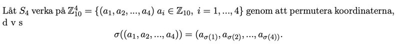
Här är frågan:


Här är lösningen:

enhetselementet, det som inte ändrar någonting