Vad står S för?
Hej,
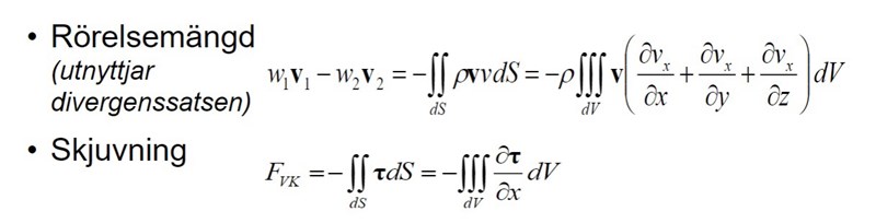
Vet någon vad S står för i formlerna nedan? Är det entropi?

Kommentar: Jag ser nu att man behöver förkunskaper från Flerdimensionell analys :(
Troligen är dS ett ytelement (S = surface). Man skriver så när man inte vet eller inte har bestämt sig för koordinater. Det skulle kunna vara dy*dx.
V är volym.
Det ser fel ut att skriva dS och dV under integralerna. dS är ett ytelement. Man integrerar över en hel yta S, så det borde stå S under.
Laguna skrev:Troligen är dS ett ytelement (S = surface). Man skriver så när man inte vet eller inte har bestämt sig för koordinater. Det skulle kunna vara dy*dx.
V är volym.
Det ser fel ut att skriva dS och dV under integralerna. dS är ett ytelement. Man integrerar över en hel yta S, så det borde stå S under.
Okej, men när du säger ytelemntet - kan man tolka det som en area? Jag tänker speciellt på den andra ekvationen för skjuvning där vi ser att F = T*dS. T (skjuvning) definieras ju egentligen som F/A. Kan man verkligen ersätta A med dS?
Ja, ett ytelement fungerar som en area.
Integralen representerar en summa av småareor multiplicerade med (som förmodligen varierar), där man låter småareornas storlek gå mot noll.
Laguna skrev:Ja, ett ytelement fungerar som en area.
Integralen representerar en summa av småareor multiplicerade med (som förmodligen varierar), där man låter småareornas storlek gå mot noll.
Okej, tack för hjälpen!