4
svar
217
visningar
teknikomatte behöver inte mer hjälp
Vågledare - Egenvärdesproblem
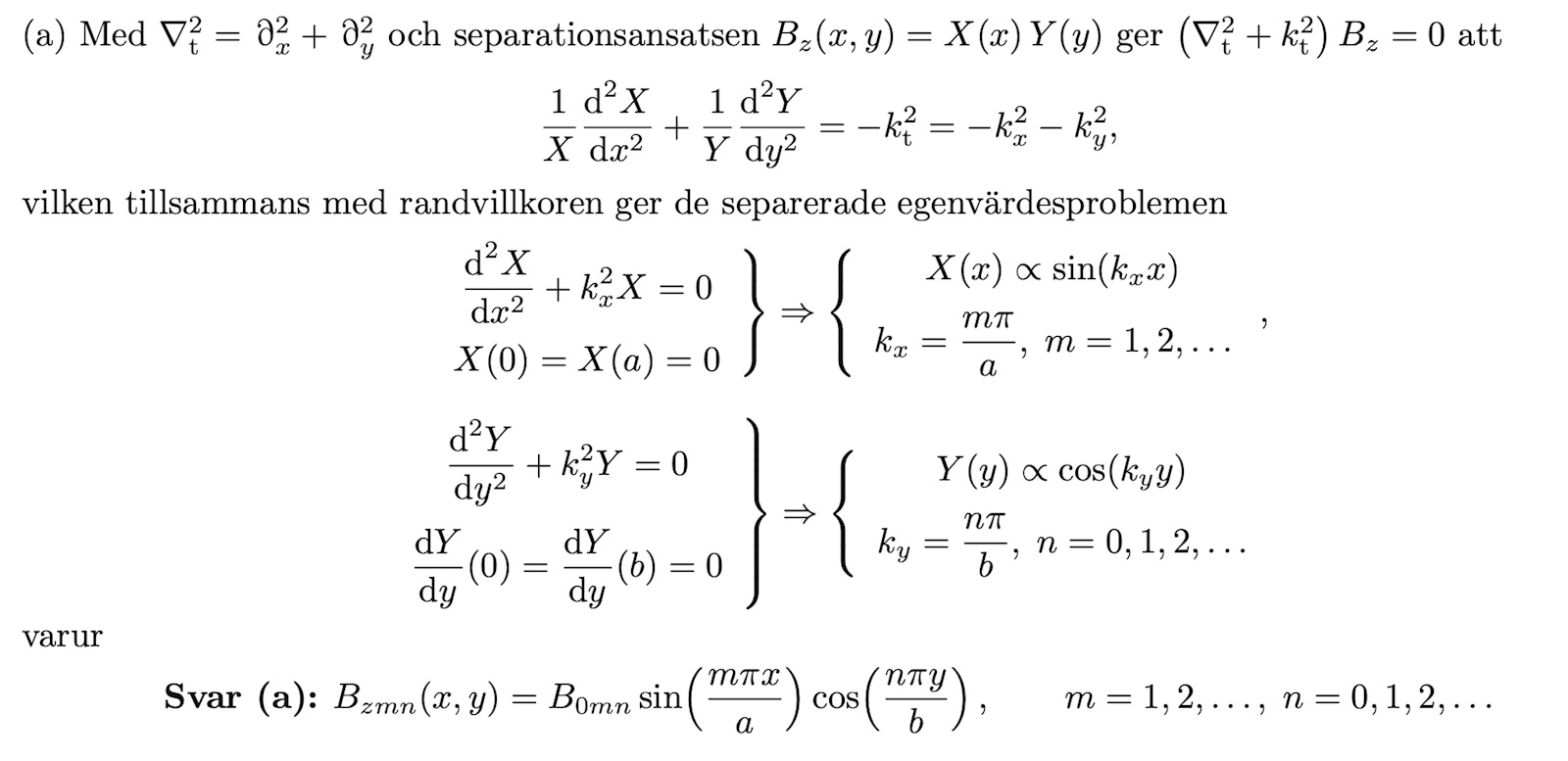
När de löser följande egenvärdesproblem, varför har de inte med m=0 i lösningen?

Hur ser uppgiften ut?
Laguna skrev:Hur ser uppgiften ut?

Olika randvillkor i riktning mellan remsorna (det parallella E-fältet vid plattorna måste vara noll) och på bredden.
Eller som det står i uppgiften: ytströmmarna i x-led måste upphöra vid remsornas kanter.
m = 0 ger en lösning, men den betyder att allting är noll. Det är visserligen en lösning, men de skriver också "dvs egenfunktionerna", och en egenfunktion är den inte.