2
svar
114
visningar
Louiger behöver inte mer hjälp
Vågor
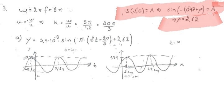
Jag fattar inte hur läraren får fram fasförskjutningen (p). Kan ngn förklara? Bild 1 är uppgift, bild 2 är lösningsförslag och bild 3 är det jag gjort.



Frågan (1.) har inte samma nummer som svaren (3.).
Dr. G skrev:Frågan (1.) har inte samma nummer som svaren (3.).
Oj!!! Tack, jag postade fel fråga 🙈 jag får skicka en ny fråga i morgon, med rätt fråga...