1
svar
98
visningar
bananett behöver inte mer hjälp
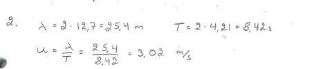
Vågor 1D : Beräkna vågens fart


Första bilden är frågan och andra är lösningsförslaget. Jag gjorde liknande fast jag tog inte gånger två för att få fram perioden och våglängden. De tar ju ut varandra ändå, så resultat blir ju samma, men vill ändå förstå varför jag skulle behöva ta gånger två.
: är avståndet mellan två vågtoppar, dvs, 12,7
T: tiden mellan två toppar, dvs, 4,21
Men förstår inte vart tvåan kommer in i bilden...
Jag håller med dig! Det är ju möjligt att det är fel i lösningsförslaget.