Vågor


hejsan
jag har svårt att förstå c) och d)
det har att göra med våglängderna? Från A till B så är det en halv våglängd?
Hej,
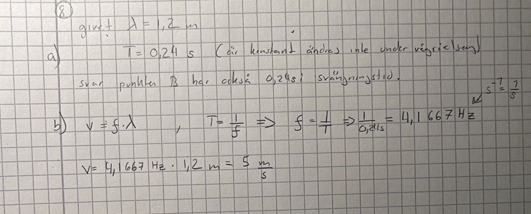
Vid tidpunkten som figuren visar befinner sig vågtoppen hos punkten A, dvs punkten A är i sitt övre vändläge. Hur lång tid tar det tills vågtoppen har färdats till punkten B? (Du räknade ut vågens fart i b-uppgiften)
Om du tycker det är svårt att tänka dig hur situationen med en transversell våg färdas på en fjäder, tänk dig likheten med en våg som färdas på en vattenyta, och punkterna A och B är två flöten som ligger och guppar upp och ner mellan två vändlägen.
Jag vet inte riktigt hur jag ska beräkna c och d
Hej!
Jag ritade en bild hur vågen ser ut 0.02sek senare, och var punkten B då befinner sig.
Förstår du hur jag har kunnat rita som jag gör? (isåfall behöver du bara tänka några "tids-steg" framåt för att lista ut svaret på fråga C och D)
Om det är någonting som du inte förstår i vad jag ritat, så fråga på det.
