Vågor intensitet
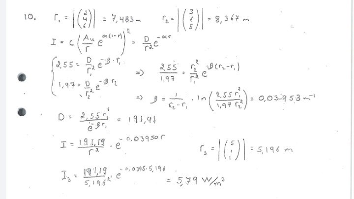
Jag undrar var formeln för intensitet kommer, samt vad c:et står för. Jag undrar även hur oändligheten kan bli till beta? (När jag har löst uppgiften har jag utgått från lösningsförslaget, men jag hittar inget om intensiteten varken i boken eller i formelsamlingen så jag skulle vilja veta mer. Bild 1 är frågan, bild 2 är lösningsförslaget, bild 3 är min lösning...



är förmodligen någon konstant som har med utbredningshastighet / material och vågtyp att göra och betyder "proportionell mot".
Jag tänkte ge dig två perspektiv på uppgiften, ett praktiskt perspektiv och ett teoretiskt perspektiv.
Praktiskt perspektiv
Någonstans i världens mitt finns det en källa som sprutar ur sig ett visst energiflöde per tidsenhet.
Dessa vågor fortplantar sig radiellt ut genom omgivningen som växande bollar med radien .
Det innebär att ju längre vi kommer från källan, ju större yta måste vår vågfront av energiflöde täcka.
Eftersom vi vet hur stor yta energiflödet för varje boll måste täcka, dvs ytan av bollen , förstår vi att energiflödet per m² måste vara omvänt proportionellt mot avståndet till centrum i kvadrat
Vi misstänker också att vi har vissa förluster till omgivningen och rimligtvis kan denna dämpning beskrivas som exponentiellt avtagande med avståndet (penetrationsdjupet), dvs
Alltså ska intensiteten ungefär ha uttrycket
Teoretiskt perspektiv
Vågekvationen i tre dimensioner ges av
För en sfärisk vågkälla kan vi anta sfärisk symmetri, dvs
Man kan då förenkla Laplaceoperatorn
Vilket ger oss vågekvationen
Vilket kan lösas generellt och studeras i detalj. Det visar sig att en lösning, som brukar kallas den harmoniska vågfunktionen, är särskilt intressant för just vårt ändamål
Till denna vågfunktion måste vi lägga penetrationsdämpningen som naturligtvis kan vara såväl frekvens- som materialberoende. Vanligtvis använder man sig av en komplex permittivitet för att beskriva den. Slutligen måste vi kvadrera amplituden för att få effekten, jmfr Poyntingvektorn .
Intensiteten är alltså proportionell mot väntevärdet av amplituden i kvadrat.