Vågor-rätt bild
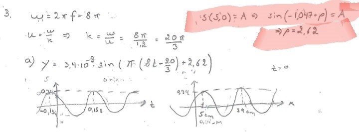
Jag fattar inte hur läraren får fram fasförskjutningen (p). Kan ngn förklara? Bild 1 är uppgift, bild 2 är lösningsförslag och bild 3 är det jag gjort.



Om du vet frekvens och fart, så har du ju våglängden.
Bubo skrev:Om du vet frekvens och fart, så har du ju våglängden.
Jo men de är fasen, p, jag inte förstår hur läraren fått fram. Dvs det rödmarkerade i lösningsförslaget.
5 cm är en andel av en hel vågläu.
Bubo skrev:5 cm är en andel av en hel vågläu.
Förstår tyvärr fortfarande inte hur läraren kommit fram till fasförskjutningen, de rödmarkerade i lösningsförslaget.
Enligt uppgiften ska vågen ha ett maximum vid . Detta inträffar då klockan
Vår vågfunktion är
Får att uppnå maximum vid måste sinusfunktionen uppnå sitt maximum där, vilket inträffar när argumentet är . För enkelhetens skull sätter vi n=0, alltså
D4NIEL skrev:Enligt uppgiften ska vågen ha ett maximum vid . Detta inträffar då klockan
Vår vågfunktion är
Får att uppnå maximum vid måste sinusfunktionen uppnå sitt maximum där, vilket inträffar när argumentet är . För enkelhetens skull sätter vi n=0, alltså
Tack för att du förklarar!!!