5
svar
136
visningar
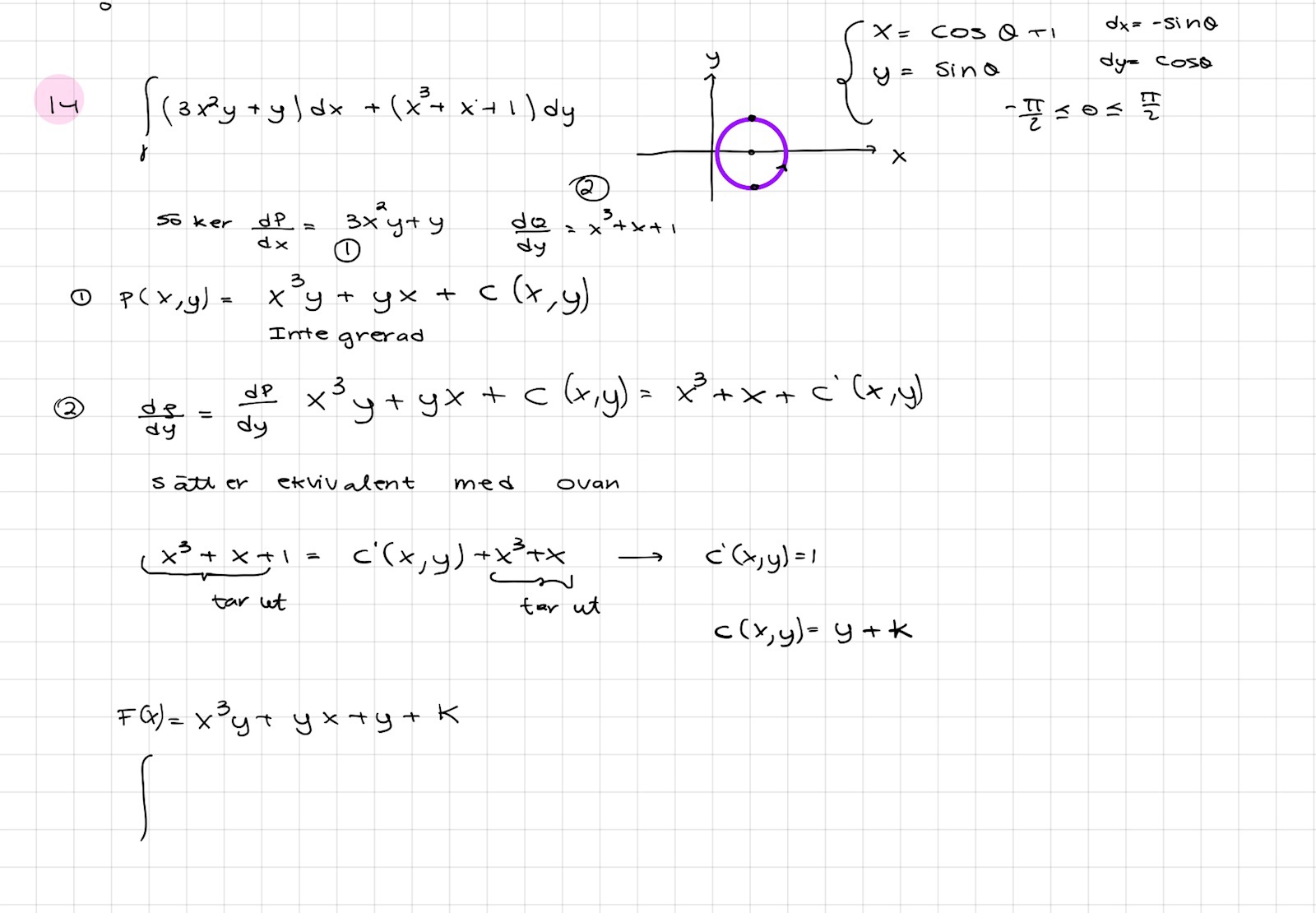
Välj C(y) till potentialfunktionen

Jag förstår inte riktigt hur man ska tänka när man ska välja c(y), skulle någon kunna förklara tack. Man sätter ju derivatorna lika varandra och då tycker jag att C'(y)=1, ska man då bara integrera med avseende på y?
Inte det du undrar över men du skriver –pi/2 till +pi/2. Är inte det en halvcirkel?
jo, men den går från punkten (1,-1) till punkten (1,1)
Bara att du ritat en hel cirkel. Men har du koll så är det lugnt. Fast tyvärr, jag är inte rätt person att hjälpa dig med integralen, ligger för långt tillbaka i tiden.
Integrera i x-led och y-led var för sig, så här
Båda ekvationerna måste vara uppfyllda samtidigt, alltså är
Med och
Jag löste det, jag hade gjort rätt skulle bara sätta in värdena