2
svar
108
visningar
Cien behöver inte mer hjälp
Väntevärde av slumpvektor
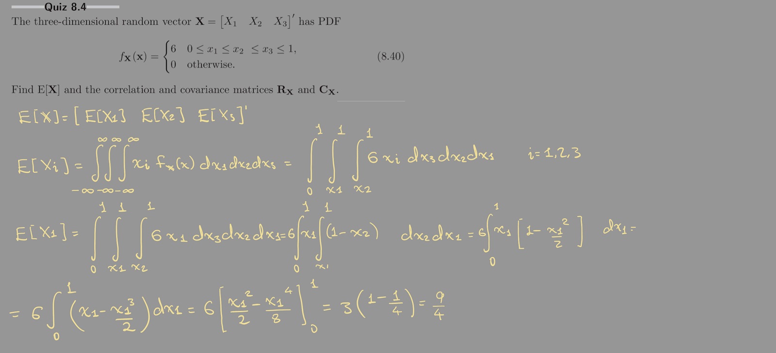
Till uppgiften nedan är E[X1]=1/4 enligt facit, stämmer detta? Det händer ganska ofta att det står fel i facit. Har gjort om ett antal gånger men aldrig fått 1/4. Hade varit snällt om någon kunde konstatera vad rätt svar är. Tack!

PATENTERAMERA skrev:
Slarvigt av mig. Tack ska du ha!