2
svar
80
visningar
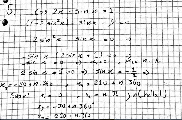
Varför har du med 0 separat, den omfattas av n*pi? Annars verkar det rätt, men du blandar grader och radianer.
Du verkar ha räknat med radianer ibland, grader ibland.
