1
svar
113
visningar
Hejsan266 behöver inte mer hjälp
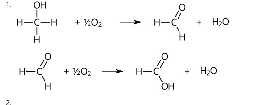
Var kommer H2O ifrån?
Hej, i den andra raden, var kommer H2O ifrån? Det finns ju inga H som försvinner från molekylen som i den första raden.

Ja, det blev fel. Bra sett!
(Den som ritade för boken var nog inte kemist.)